受中化兴中石油转运(舟山)有限公司委托,现对办公家具和电脑等信息化设备进行处置,具体事项公告如下:
一、物资情况
本次资产处置涉及1004台电脑等信息化设备和一批办公家具,位于浙江省舟山市临城新区岙山岛兴中公司油库。
交易方式:公开竞价
预估挂牌时间:2025年6月
标的具体情况如下(电脑主机、服务器不含硬盘,交割前电脑主机、服务器由受让方开箱取出硬盘,出让方现场监督、指导并做好收集工作):




























































二、预报名
(1)预报名时间:2025.6.11-2025.6.24
(2)预报名联系方式:刘经理17801001237、李经理18911318961。北京市丰台区丽泽路平安幸福中心B座25层。
(3)预报名地址:https://d.sinochemitc.com/#/assetsDisposal。
三、踏勘
(1)踏勘时间:具体时间待电话通知,各报名单位按照电话通知约定的时间,在工作人员带领下踏勘现场。
(2)踏勘地点:浙江省舟山市临城新区岙山岛兴中公司油库。
(3)踏勘要求:个人竞标人需提供个人身份证(原件);企业竞标人需提供企业营业执照(加盖公章的复印件)、授权委托人身份证(原件及复印件)。以上材料的原件审核过后当场退还,复印件收存。
(4)其他要求:严格遵守厂区内规章制度,严格服从厂区HSE管理。
序号固定资产名称规格型号生产厂家出厂编号数量单位
| 1 | 电脑显示器 | T17JC-0 | 南京LG同创彩色显示系统有限责任 | 402NTRLR1414 | 1 | 台 |
| 2 | 电脑显示器 | 6543-303 | IBM | 66-94196 | 1 | 台 |
| 3 | 电脑显示器 | 6543-303 | IBM | 66-67934 | 1 | 台 |
| 4 | 电脑显示器 | NECJC-2002VMN-1 | | 46C00583A | 1 | 台 |
| 5 | 电脑显示器 | LGEB771F-NA | 南京LG同创彩色显示系统有限责任公司 | C1BNT408777 | 1 | 台 |
| 6 | 电脑原显示器美格.786FTI | 17寸纯平 | 武汉唯冠科技有限公司 | WC7X037112954 | 1 | 台 |
| 7 | 电脑显示器 | 显:LG.CB575C-NA | 显:LG,南京同创电脑 | 显:LG.011NT00351 | 1 | 台 |
| 8 | 电脑显示器(IBM) | 显示器G76.6548-41N | 长城国际信息产品深圳公司 | 编号23-RC804 | 1 | 台 |
| 9 | 电脑(IBM)显示器 | 6331-0CN | 长城国际信息产品(深圳公司 | 23-ZB520 | 1 | 台 |
| 10 | 电脑(HP)显示器 | hp55,D8897 | 上海惠普有限公司 | CN12604273 | 1 | 台 |
| 11 | 电脑显示器(IBM) | 显示器6332-0CN | 长城国际信息产品(深圳公司 | S/N:23-96560 | 1 | 台 |
| 12 | 电脑兼容机--显示器 | 显同创FB775F-EA | | BAANT512086 | 1 | 台 |
| 13 | 电脑显示器(联想.启天MZ2200) | 显:LXB-HF769A | 联想(北京)有限公司 | 9M0118042271557 | 1 | 台 |
| 14 | 电脑(IBM)-显示器 | IBM2163-446(机) | 长城国际信息产品(深圳公司 | 主机99-9342 | 1 | 台 |
| 15 | 显示器(IBM) | 显G50,6546-4ANA | 长城国际信息产品(深圳公司 | 24KKH07 | 1 | 台 |
| 16 | 电脑显示器(IBM) | 液晶显6636-AB1 | 长城国际信息产品(深圳公司 | 23KHG16 | 1 | 台 |
| 17 | 电脑显示器(hp) | 显:hpD8897 | 上海惠普 | CN05110668 | 1 | 台 |
| 18 | 电脑显示器(IBM) | 液晶显9512-AB1 | 长城国际信息产品(深圳公司 | 23R1185 | 1 | 台 |
| 19 | 电脑显示器(IBM) | 液晶显6636-AB1 | 长城国际信息产品(深圳公司 | 23MY169 | 1 | 台 |
| 20 | 电脑显示器(IBM) | 显6636-AB1 | 长城国际信息产品(深圳公司 | SN:23MX640 | 1 | 台 |
| 21 | 电脑显示器(三星.液晶) | 510NW,MJ15ASKB | 天津市三星电子公司 | MJ15HVGY411474B | 1 | 台 |
| 22 | 电脑显示器(IBM) | 显6636-AB1 | 长城国际信息产品(深圳公司 | 编号:23KHG14 | 1 | 台 |
| 23 | 电脑显示器(IBM) | 液晶显6636-AB1 | 长城国际信息产品(深圳公司 | 23HGC49 | 1 | 台 |
| 24 | 电脑显示器(IBM) | 液晶显6636-AB1 | 长城国际信息产品(深圳公司 | 23KGT58 | 1 | 台 |
| 25 | 电脑显示器(IBM) | 6636-AB1 | 长城国际信息产品(深圳公司 | SN:23MX923 | 1 | 台 |
| 26 | 电脑显示器(IBM) | 液晶显9512-AB1 | 长城国际信息产品(深圳公司 | 23D0229 | 1 | 套 |
| 27 | 电脑显示器(IBM) | 液晶显6636-AB1 | 长城国际信息产品(深圳公司 | 23GT459 | 1 | 台 |
| 28 | 电脑显示器(IBM) | 液晶显6636-AB1 | 长城国际信息产品(深圳公司 | 23GMX74 | 1 | 台 |
| 29 | 电脑显示器(IBM) | 显6636-AB1 | 长城国际信息产品(深圳公司 | 编号:23GMY99 | 1 | 台 |
| 30 | 电脑显示器(IBM) | 液晶显6636-AB1 | 长城国际信息产品深圳公司 | 23MX425 | 1 | 台 |
| 31 | 电脑显示器(IBM) | 显E74,6332-J3N | 长城国际信息产品深圳公司产:源 | 66-KG727 | 1 | 台 |
| 32 | 电脑显示器(实达) | 实达17",7Klr | 实达电脑科技有限公司 | 1TCG22B160379 | 1 | 台 |
| 33 | 电脑显示器(IBM) | 显9512-AB1 | 长城国际信息产品(深圳公司 | S/N:23CW687 | 1 | 台 |
| 34 | 电脑显示器(IBM) | 液晶显6636-AB1 | 长城国际信息产品深圳公司 | 23MX892 | 1 | 台 |
| 35 | 电脑显示器(IBM) | 液晶显6636-AB1 | 长城国际信息产品(深圳公司 | 23Z4218 | 1 | 台 |
| 36 | 电脑显示器(IBM) | 液晶显6636-AB1 | 长城国际信息产品(深圳公司 | 23MX776 | 1 | 台 |
| 37 | 电脑显示器(IBM) | 液晶显6636-AB1 | 长城国际信息产品(深圳公司 | 23MY619 | 1 | 台 |
| 38 | 电脑显示器(IBM) | 液晶显6636-AB1 | 长城国际信息产品(深圳公司 | 23AN983 | 1 | 台 |
| 39 | 电脑显示器(IBM) | 6636-AB1 | 长城国际信息产品(深圳公司 | S/N:23BW711 | 1 | 台 |
| 40 | 电脑显示器(IBM) | 液晶显9512-AB1 | 长城国际信息产品(深圳公司 | 23W9195 | 1 | 台 |
| 41 | 电脑显示器(IBM) | 液晶显6636-AB1 | 长城国际信息产品(深圳公司 | 23BW710 | 1 | 台 |
| 42 | 电脑显示器(IBM) | 6636-AB1 | 长城国际信息产品深圳公司 | 23HKC36 | 1 | 台 |
| 43 | 电脑显示器(方正) | 显:方正FG556-FB | 方正 | 显P/N:FG09105FB06 | 1 | 台 |
| 44 | 电脑显示器 | 现代V770 | | ZD6312002001 | 1 | 台 |
| 45 | 电脑显示器 | SONY17CPD-G220 | 索尼 | 2407523 | 1 | 台 |
| 46 | 电脑显示器(方正) | 显:方正FG556-FB | 方正 | PN:FG09105FB05 | 1 | 台 |
| 47 | 显示器(IBM) | 显示器IBM633-42N | 长城国际信息产品(深圳公司 | 23C3882 | 1 | 台 |
| 48 | 电脑显示器(IBM) | 显9512-AB1 | 长城国际信息产品(深圳公司 | S/N:23AY776 | 1 | 台 |
| 49 | 电脑显示器(IBM) | 6636-AB1 | 长城国际信息产品深圳公司 | S/N:23GT420 | 1 | 台 |
| 50 | 电脑显示器(IBM) | 液晶显6636-AB1 | 长城国际信息产品(深圳公司 | 23HGC17 | 1 | 台 |
| 51 | 电脑显示器(IBM) | 液晶显6636-AB1 | 长城国际信息产品(深圳公司 | 23GN254 | 1 | 台 |
| 52 | 电脑显示器(IBM) | 液晶显6636-AB1 | 长城国际信息产品深圳公司 | 23AN982 | 1 | 台 |
| 53 | 电脑显示器(IBM) | 液晶显6636-AB1 | 长城国际信息产品(深圳公司 | 23HGC48 | 1 | 台 |
| 54 | 电脑显示器(IBM) | 液晶显6636-AB1 | 长城国际信息产品(深圳公司 | 23KGZ54 | 1 | 台 |
| 55 | 电脑显示器(IBM) | 液晶显6636-AB1 | 长城国际信息产品(深圳公司 | 23MY057 | 1 | 台 |
| 56 | 电脑显示器(IBM) | 液晶显6636-AB1 | 长城国际信息产品深圳公司 | 23DF975 | 1 | 台 |
| 57 | 电脑显示器(联想) | 联想LXB-L15E | 联想(北京有限公司 | 7M0148061020280 | 1 | 台 |
| 58 | 电脑显示器(IBM) | 显6636-AB1 | 长城国际信息产品(深圳公司 | 编号:23KHG13 | 1 | 台 |
| 59 | 电脑显示器(IBM) | 显9512-AB1 | 长城国际信息产品(深圳)公司 | S/N:23CV664 | 1 | 台 |
| 60 | 电脑显示器(IBM) | 液晶显9512-AB1 | 长城国际信息产品(深圳公司 | 23B1698 | 1 | 套 |
| 61 | 电脑显示器(IBM) | 液晶显6636-AB1 | 长城国际信息产品(深圳公司 | 23HGC38 | 1 | 台 |
| 62 | 电脑显示器(IBM) | 6637-AB0 | 长城国际信息产品(深圳公司 | 5511522 | 1 | 台 |
| 63 | 电脑显示器(IBM) | 液晶显6636-AB1 | 长城国际信息产品(深圳)公司 | 23MX886 | 1 | 台 |
| 64 | 电脑显示器(IBM) | 液晶显9512-AB1 | 长城国际信息产品(深圳公司 | 23B0456 | 1 | 套 |
| 65 | 电脑显示器(IBM) | 显9512-AB1 | 长城国际信息产品(深圳公司 | SN:23D0555 | 1 | 台 |
| 66 | 电脑显示器(联想) | 显:LXB-L15E | 联想(北京)有限公司 | 7M0148061020309 | 1 | 台 |
| 67 | 电脑显示器(IBM) | 液晶显6636-AB1 | 长城国际信息产品(深圳公司 | 23BAV51 | 1 | 台 |
| 68 | 显示器(优派液晶) | Vx912,VS10162 | 优派显示设备国际贸易(上海) | PCN044601926 | 1 | 台 |
| 69 | 显示器(液晶/优派19寸) | 优派VX922.VS10162 | 优派显示设备国际贸易(上海) | | 1 | 台 |
| 70 | 电脑显示器(IBM) | 显9512-AB1 | 长城国际信息产品(深圳公司 | S/N:23CV284 | 1 | 台 |
| 71 | 夏普监视器 | 14A10 | 夏普公司日本 | A202544475 | 1 | 台 |
| 72 | 电脑显示器(IBM) | 6636-AB1 | 长城国际信息产品(深圳公司 | S/N:23DF268 | 1 | 台 |
| 73 | 电脑显示器 | ViewSonicVG511s, | 优派 | 显91Z035001596 | 1 | 台 |
| 74 | 电脑显示器(联想) | 显:LXB-L15E | 联想(北京)有限公司 | 7M0148061020233 | 1 | 台 |
| 75 | 电脑显示器(联想) | 显:LXB-L15E | 上海联想电子电脑公司 | 7M0148061020301 | 1 | 台 |
| 76 | 电脑显示器(联想) | 联想LXB-L15E | 联想(北京有限公司 | 7M0148061374802 | 1 | 台 |
| 77 | 电脑显示器(IBM) | 液晶显6636-AB1 | 长城国际信息产品(深圳公司 | 23KGN37 | 1 | 台 |
| 78 | 电脑显示器(IBM) | 液晶显6636-AB1 | 长城国际信息产品(深圳公司 | 23KHG09 | 1 | 台 |
| 79 | 电脑显示器(联想) | 联想LXB-L15E | 联想(北京有限公司 | 7M0148060921269 | 1 | 台 |
| 80 | 电脑显示器(联想) | 显:LXB-L15E | 联想(北京有限公司 | 7M0148060920477 | 1 | 台 |
| 81 | 电脑显示器(联想) | 显:LXB-L15E | 联想(北京)有限公司 | 4M0152262020938 | 1 | 台 |
| 82 | 电脑显示器(联想) | 显:LXB-L15E | 上海联想电子电脑公司 | 7M0148062121759 | 1 | 台 |
| 83 | 电脑显示器(IBM) | 液晶显9512-AB1 | 长城国际信息产品(深圳公司 | 23B1376 | 1 | 套 |
| 84 | 电脑显示器(IBM) | 液晶显6636-AB1 | 长城国际信息产品深圳公司 | 23HGB93 | 1 | 台 |
| 85 | 电脑显示器(IBM) | 显:T541,9512-AB1 | 长城国际信息产品(深圳公司 | 2367972 | 1 | 台 |
| 86 | 电脑显示器(IBM) | 液晶显9512-AB1 | 长城国际信息产品(深圳公司 | 23D5893 | 1 | 台 |
| 87 | 电脑显示器(IBM) | 液晶显6636-AB1 | 长城国际信息产品深圳公司 | 23MX912 | 1 | 台 |
| 88 | 电脑显示器(IBM) | 液晶显6636-AB1 | 长城国际信息产品(深圳公司 | 23DD828 | 1 | 台 |
| 89 | 电脑显示器(联想) | 显:LXB-L15E | 上海联想电子电脑公司 | 7M0148062220605 | 1 | 台 |
| 90 | 电脑显示器(联想) | 显:LXB-L15E | 联想(北京)有限公司 | 7M0148061023484 | 1 | 台 |
| 91 | 电脑显示器(IBM) | IBM显9512-AB1 | 长城国际信息产品(深圳公司 | 显示器23W9223 | 1 | 台 |
| 92 | 显示器(液晶/三星) | 913V | 三星电子 | GS19HVFY701745M | 1 | 台 |
| 93 | 显示器(液晶/优派19寸) | 优派VX922,VS10162 | 优派显示设备国际贸易(上海) | Q5A054900842 | 1 | 台 |
| 94 | 电脑显示器(联想) | 联想LXB-L15E | 联想(北京有限公司 | 7M0148062222763 | 1 | 台 |
| 95 | 电脑显示器(IBM) | 液晶显6636-AB1 | 长城国际信息产品(深圳公司 | 23AN912 | 1 | 台 |
| 96 | 电脑显示器(联想) | 显:LXB-L15E | 上海联想电子电脑公司 | 4M0152262020966 | 1 | 台 |
| 97 | 电脑显示器(联想) | 显:LXB-L15E | 联想(北京)有限公司 | 7M0148060921283 | 1 | 台 |
| 98 | 电脑显示器(IBM) | 液晶显6636-AB1 | 长城国际信息产品(深圳公司 | 23KGP93 | 1 | 台 |
| 99 | 电脑显示器(IBM) | 液晶显6636-AB1 | 长城国际信息产品(深圳公司 | 23MX905 | 1 | 台 |
| 100 | 电脑显示器(联想) | 显:LXB-L15E | 上海联想电子电脑公司 | 7M0148060921277 | 1 | 台 |
| 101 | 电脑显示器(IBM) | 17"液晶显 | 长城国际信息产品(深圳公司 | 23FR517 | 1 | 台 |
| 102 | 电脑显示器(联想) | 显:LXB-L15E | 上海联想电子电脑公司 | 7M0148061020290 | 1 | 台 |
| 103 | 电脑显示器(IBM) | 17"液晶显 | 长城国际信息产品(深圳公司 | 23FR515 | 1 | 台 |
| 104 | 电脑显示器(联想) | 显:LXB-L15E | 上海联想电子电脑公司 | 7M0148061020222 | 1 | 台 |
| 105 | 电脑显示器(IBM) | 6636-AB1 | 长城国际信息产品深圳公司 | S/N:23MY626 | 1 | 台 |
| 106 | 电脑显示器(IBM) | 6636-AB1 | 长城国际信息产品(深圳公司 | S/N:23MX837 | 1 | 台 |
| 107 | 电脑显示器(IBM) | 显:T541,9512-AB1 | 长城国际信息产品深圳公司 | 2367352 | 1 | 台 |
| 108 | 电脑显示器(联想) | 显LXM-L15AB | 联想(北京)有限公司 | 号7M0150753920899 | 1 | 台 |
| 109 | 电脑显示器(联想) | 显:LXB-L15E | 联想(北京有限公司 | 7M0148061020232 | 1 | 台 |
| 110 | 电脑显示器(联想) | 显:LXB-L15E | 联想(北京有限公司 | 7M0148061020234 | 1 | 台 |
| 111 | 电脑显示器(联想) | 显:LXB-L15E | 联想(北京)有限公司 | 7M0148061020274 | 1 | 台 |
| 112 | 电脑显示器(IBM) | 液晶显6636-AB1 | 长城国际信息产品(深圳公司 | 23KFW99 | 1 | 台 |
| 113 | 电脑显示器(IBM) | 液晶显9512-AB1 | 长城国际信息产品(深圳公司 | 23W9282 | 1 | 台 |
| 114 | 电脑显示器(IBM) | 6636-AB1 | 长城国际信息产品深圳公司 | S/N:23DF063 | 1 | 台 |
| 115 | 电脑显示器(IBM) | 液晶显6636-AB1 | 长城国际信息产品深圳公司 | 23MX869 | 1 | 台 |
| 116 | 电脑显示器(联想) | 显:LXB-L15E | 上海联想电子电脑公司 | 7M0148062222768 | 1 | 台 |
| 117 | 电脑显示器(三星) | 三星913V | 天津三星电子 | 显:GS19HVEY732217E:3940650069 | 1 | 台 |
| 电脑显示器(三星) | 三星913V | 天津三星电子 | 显:GS19HVEY732221B | 1 | 台 |
| 电脑显示器(三星) | 显:913V | 三星 | LS19HVEYB07920L | 1 | 台 |
| 电脑显示器(IBM) | 液晶显6636-AB1 | 长城国际信息产品深圳公司 | 23KRG12 | 1 | 台 |
| 电脑显示器(联想) | 显:LXB-L15E | 联想(北京)有限公司 | 7M0148061025207 | 1 | 台 |
| 电脑显示器(联想) | 显:LXB-L15E | 联想(北京)有限公司 | 7M014806922962 | 1 | 台 |
| 电脑显示器(联想) | 显:L171 | 中国联想(北京)有限公司 | 0M0232573320112 | 1 | 台 |
| 电脑显示器(联想) | 显:L171 | 中国联想(北京)有限公司 | 0M0232573320131 | 1 | 台 |
| 电脑显示器(联想) | 显:L171 | 中国联想(北京)有限公司 | 0M0234373003735 | 1 | 台 |
| 电脑显示器(IBM) | 液晶显9512-AB1 | 长城国际信息产品深圳公司 | 23AY763 | 1 | 台 |
| 电脑显示器(IBM) | 液晶显6636-AB1 | 长城国际信息产品(深圳公司 | 23HGC24 | 1 | 台 |
| 电脑显示器 | IBM6636-AC1 | 长城国际信息产品深圳公司 | 23HGM77 | 1 | 台 |
| 电脑显示器(联想) | 显:LXB-L15E | 联想(北京)有限公司 | 7M0148061020281 | 1 | 台 |
| 电脑显示器(联想) | 显示器:9417-HC2 | 联想信息产品有限公司 | VLNGZ64 | 1 | 台 |
| 电脑显示器(IBM) | 液晶显6636-AB1 | 长城国际信息产品(深圳公司 | 23KFH07 | 1 | 台 |
| 电脑显示器(IBM) | 显9512-AB1 | 长城国际信息产品(深圳公司 | S/N:23AY767 | 1 | 台 |
| 电脑显示器(联想) | L1710A | 联想(北京)有限公司 | 3M04337B4151491 | 1 | 台 |
| 电脑显示器(联想) | L1710A | 联想(北京)有限公司 | 1M04337B1050514 | 1 | 台 |
| 电脑显示器(联想) | 显示器:9417-HC2 | 联想信息产品有限公司 | VLNGZ26 | 1 | 台 |
| 电脑显示器(IBM) | 液晶显6636-AB1 | 长城国际信息产品(深圳公司 | 23HGC07 | 1 | 台 |
| 电脑显示器(IBM) | 液晶显6636-AB1 | 长城国际信息产品(深圳公司 | 23DF269 | 1 | 台 |
| 电脑显示器(联想) | 显:L171 | 中国联想(北京)有限公司 | 0M0234373003733 | 1 | 台 |
| 电脑显示器(惠普) | 显:HPL1706 | HP | CNC5390DL3 | 1 | 台 |
| 电脑显示器(三星) | 三星740NPLUS | 三星 | 序列号 | 1 | 台 |
| 电脑显示器(IBM) | 液晶显6636-AB1 | 长城国际信息产品深圳公司 | 23KGR50 | 1 | 台 |
| 电脑显示器(IBM) | 液晶显6636-AB1 | 长城国际信息产品(深圳公司 | 23KHG11 | 1 | 台 |
| 电脑显示器(IBM) | 液晶显6636-AB1 | 长城国际信息产品(深圳公司 | 23AN898 | 1 | 台 |
| 工业PC机显示器 | 显示器M9WRD4 | 长城计算机深圳股份有限公司石岩 | 显:SPT8409G5070047 | 1 | 台 |
| 电脑显示器(联想) | 显示器9227-AE6 | 中国联想(北京有限公司 | 显9M0337891201583 | 1 | 台 |
| 电脑显示器(联想) | 显:LXB-L15E | 上海联想电子电脑公司 | 7M0148061020302 | 1 | 台 |
| 电脑显示器(IBM) | 液晶显6636-AB1 | 长城国际信息产品(深圳公司 | 23MY058 | 1 | 台 |
| 电脑显示器(联想) | 显:LXB-L15E | 上海联想电子电脑公司 | 7M0148060921296 | 1 | 台 |
| 电脑显示器(联想) | 显:LXB-L15E | 联想(北京)有限公司 | 7M0148061020300 | 1 | 台 |
| 电脑显示器(联想) | L1710A | 联想(北京)有限公司 | 3M04337B4151491 | 1 | 台 |
| 电脑显示器(点歌器) | 显示器:三星17寸 | | HA17HVKQ710962T | 1 | 台 |
| 电脑显示器(联想) | 显示器:9417-HC2 | 联想信息产品有限公司 | VLNGZ49 | 1 | 台 |
| 电脑显示器(DELL) | 940NPLUS | DELL | HA19HTBP306717Y | 1 | 台 |
| 电脑显示器(联想) | 显:L1710A | 联想(北京)有限公司 | 显3M04337A2251840 | 1 | 台 |
| 电脑显示器(联想) | 显:L171 | 中国联想(北京)有限公司 | 0M0234373003718 | 1 | 台 |
| 电脑显示器(IBM) | 液晶显6636-AB1 | 长城国际信息产品深圳公司 | 23KHG08 | 1 | 台 |
| 电脑显示器(联想/IBM) | 9417-HC2 | 联想信息产品(深圳有限公司 | 显示器:VLVZC66 | 1 | 台 |
| 电脑显示器(联想) | 显:L1710A | 联想(北京)有限公司 | 显3M04337A2251841 | 1 | 台 |
| 电脑显示器(联想) | 9417-HC2 | 中国联想(北京)有限公司 | VLAHB03 | 1 | 台 |
159
| 160 | 电脑显示器(联想) | 9227-AE6 | 联想(北京)有限公司 | 9M0337891201673 | 1 | 台 |
| 161 | 电脑显示器(联想) | 显示器:9417-HC2 | 联想信息产品有限公司 | VLBYB85 | 1 | 台 |
| 162 | 电脑显示器(联想) | 显:L1710A | 联想(北京)有限公司 | 3M04337A4466375 | 1 | 台 |
| 163 | 电脑显示器(联想) | 显:L1710A | 联想(北京)有限公司 | 3M04337A4466360 | 1 | 台 |
| 164 | 电脑显示器(联想) | L1710A | 中国联想(北京)有限公司 | 4M0396893968649 | 1 | 台 |
| 165 | 电脑显示器(联想) | 显L1750 | 联想(北京)有限公司 | 序9W03201A0900081 | 1 | 台 |
| 166 | 电脑显示器(联想) | 显:LXB-L15E | 联想(北京)有限公司 | 7M0148061024144 | 1 | 台 |
| 167 | 电脑显示器(IBM) | 显6636-AB1 | 长城国际信息产品深圳公司 | SIN:23MX858 | 1 | 台 |
| 168 | 电脑显示器(IBM) | 液晶显6636-AB1 | 长城国际信息产品(深圳公司 | 23GMM64 | 1 | 台 |
| 169 | 电脑显示器(联想) | L1710A | 联想(北京有限公司 | | 1 | 台 |
| 170 | 电脑显示器(三星) | 三星740NPLUS | 三星 | 序列号 | 1 | 台 |
| 171 | 电脑显示器(联想/IBM) | 9417-HC2 | 联想信息产品(深圳有限公司 | 显示器:VLVWD24 | 1 | 台 |
| 172 | 电脑显示器(IBM) | 液晶显9512-AB1 | 长城国际信息产品(深圳公司 | 23D1724 | 1 | 台 |
| 173 | 电脑显示器(DELL) | 显:1708FPT | 戴尔计算机公司 | CN-OPN061-716-794- | 1 | 台 |
| 174 | 电脑显示器(IBM) | 液晶显9512-AB1 | 长城国际信息产品(深圳公司 | 23B1410 | 1 | 台 |
| 175 | 电脑显示器(联想) | 显示器:9417-HC2 | 联想信息产品有限公司 | VLNGV83 | 1 | 台 |
| 176 | 电脑显示器(联想) | 显示器9227-AE6 | 中国联想(北京)有限公司 | 显9M0337891201689 | 1 | 台 |
| 177 | 电脑显示器(联想) | L1710A | 联想(北京)有限公司 | 1M04337B1050483 | 1 | 台 |
| 178 | 电脑显示器(联想) | 显示器9227-AE6 | 中国联想(北京)有限公司 | 显9M0337891201676 | 1 | 台 |
| 179 | 电脑显示器 | L1710A | 联想(北京)有限公司 | 显1M04337B1050492 | 1 | 台 |
| 180 | 电脑显示器(IBM) | 液晶显6636-AB1 | 长城国际信息产品(深圳公司 | 23DF271 | 1 | 台 |
| 181 | 显示器 | 6332-0CN | IBM | 23-A0159 | 1 | 台 |
| 182 | 显示器 | 550B | 天津三星电子显示器有限公司 | DP15HVBN601075F | 1 | 台 |
| 183 | 显示器 | CPF307 | 上海东亚联合科技咨询有限公司 | 1Q3-04014145 | 1 | 台 |
| 184 | 显示器 | 14" | AOK | | 1 | 台 |
| 185 | 显示器 | XJ570 | | NSK1K3004242 | 1 | 台 |
| 186 | 电脑显示器(联想) | L1710A | 中国联想(北京)有限公司 | 4M0396893968592 | 1 | 台 |
| 187 | 电脑显示器(清华紫光) | | 清华紫光 | | 1 | 台 |
| 188 | 电脑显示器(联想) | 显示器9227-AE6 | 中国联想(北京有限公司 | 显9M033789120**** | 1 | 台 |
| 189 | 电脑显示器(联想) | 显:LXB-L15E | 上海联想电子电脑公司 | 7M0148062222768 | 1 | 台 |
| 190 | 电脑显示器(联想/IBM) | 9417-HC2 | 联想信息产品(深圳有限公司 | 显示器:VLVWD35 | 1 | 台 |
| 191 | 电脑显示器(联想) | 显:LXB-L15E | 上海联想电子电脑公司 | 7M0148061020303 | 1 | 台 |
| 192 | 电脑显示器(联想) | L1710A | 联想(北京)有限公司 | 1M04337B1050490 | 1 | 台 |
| 193 | 电脑显示器(联想) | 显示器9227-AE6 | 中国联想(北京)有限公司 | 显9M0337891201668 | 1 | 台 |
| 194 | 电脑显示器(联想) | 显示器:9417-HC2 | 联想信息产品有限公司 | VLBYB72 | 1 | 台 |
| 195 | 电脑显示器(联想) | L1710A | 中国联想(北京)有限公司 | 4M0396893968617 | 1 | 台 |
| 196 | 电脑显示器(联想) | L1710A | 联想(北京)有限公司 | 1M04337B1050520 | 1 | 台 |
| 197 | 电脑显示器(联想) | L1710A | 联想(北京)有限公司 | 1M04337B1050484 | 1 | 台 |
| 198 | 电脑显示器(联想) | 显:L1710A | 联想(北京)有限公司 | 显3M04337A2253194 | 1 | 台 |
| 199 | 电脑显示器(联想) | 显:L1710A | 联想(北京)有限公司 | 显3M04337A4466377 | 1 | 台 |
| 200 | 电脑显示器(IBM) | 液晶显6636-AB1(实 | 长城国际信息产品(深圳公司 | 23KHP21 | 1 | 台 |
| 201 | 电脑显示器(联想) | 显:L1710A | 联想(北京)有限公司 | 显3M04337A2251848 | 1 | 台 |
| 202 | 电脑显示器 | 戴尔:E2210C | 戴尔(中国)有限公司 | CN-016VXG-64180-03Q-0PFL | 1 | 台 |
| 203 | 电脑显示器 | 戴尔:E2210C | 戴尔(中国)有限公司 | CN-016VXG-64180-03P-1DXL | 1 | 台 |
| 204 | 电脑显示器(联想) | 显示器9227-AE6 | 中国联想(北京有限公司 | 显9M0337891201582 | 1 | 台 |
| 205 | 电脑显示器(联想) | 显示器:9417-HC2 | 联想信息产品有限公司 | VLBXR47 | 1 | 台 |
| 206 | 显示器(等离子) | 松下TH-50PH10 | 松下 | YS7320020 | 1 | 台 |
| 207 | 显示器(戴尔22LED) | E2210C | 戴尔(中国有限公司 | CN-016VXG-64180-03P-1DR | 1 | 台 |
| 208 | 显示器(等离子) | 松下TH-50PH10 | 上海松下等离子显示器有限公司 | YS7210087 | 1 | 台 |
| 209 | 液晶监视器 | 创维26寸,M26LA | 深圳市创维群欣安防科技公司 | 1009SD26A201005 | 1 | 台 |
| 210 | 电脑显示器(联想) | 显:L196WD | 联想(北京)有限公司 | 显:9M0320291606453 | 1 | 台 |
| 211 | 电脑显示器(联想) | 显:L196WD | 联想(北京)有限公司 | 显:9M0320291606434 | 1 | 台 |
| 212 | 电脑显示器(联想) | L1710A | 中国联想(北京)有限公司 | 4M0396893968661 | 1 | 台 |
| 213 | 电脑显示器(联想) | L197WF | 联想(北京有限公司 | 6M05291C0505054 | 1 | 台 |
| 214 | 电脑显示器(联想) | L197WF | 联想(北京有限公司 | 6M05291C0505148 | 1 | 台 |
| 215 | 电脑显示器(联想) | L197WF | 联想(北京有限公司 | 6M05291C0506134 | 1 | 台 |
| 216 | 电脑显示器(联想) | L197wA | 联想(北京)有限公司 | 3M04345C1454166 | 1 | 台 |
| 217 | 电脑显示器(联想) | L1710A | 联想(北京有限公司 | 3M04337B2761920 | 1 | 台 |
| 218 | 电脑显示器 | 联想:L197wA | 联想(北京有限公司 | M04351C4850826 | 1 | 台 |
| 219 | 电脑显示器 | L197wA | 联想(北京有限公司 | 3M04351C4555118 | 1 | 台 |
| 220 | 电脑显示器(联想) | L1710A | 联想(北京)有限公司 | 1M04337B1050522 | 1 | 台 |
| 221 | 电脑显示器 | 戴尔:E2210C | 戴尔(中国有限公司 | CN-016VXG-64180-03P-1D2L | 1 | 台 |
| 222 | 电脑显示器(联想) | L197wA | 联想(北京)有限公司 | 3M04345C1454473 | 1 | 台 |
| 223 | 电脑显示器(联想) | L1710A | 中国联想(北京)有限公司 | 4M0396893968641 | 1 | 台 |
| 224 | 电脑显示器(IBM) | 显6636-AB1 | 长城国际信息产品(深圳)公司 | S/N:23GT410 | 1 | 台 |
| 225 | 电脑显示器(IBM) | 液晶显6636-AB1 | 长城国际信息产品(深圳公司 | 23GMY76 | 1 | 台 |
| 226 | 电脑显示器(联想) | 显:L196WD | 联想(北京)有限公司 | 显:9M0320291606435 | 1 | 台 |
| 227 | 电脑显示器(DELL) | 显:2007FP6 | 戴尔,2007.09.10.中国产 | 序列号CN-OY9917- | 1 | 台 |
| 228 | 电脑显示器(联想) | L1710A | 中国联想(北京有限公司 | 4M0396893968636 | 1 | 台 |
| 229 | 电脑显示器(Dell) | 显DELL19寸 | 戴尔,马来西亚制造 | CN-OUN484-72872- | 1 | 台 |
| 230 | 显示器(优派vx912监控) | ViewSonicVX912 | 优派显示设备国际贸易公司 | PCN045001551 | 1 | 台 |
| 231 | 显示器(三星) | SMT-3223 | 三星(中国)投资有限公司 | zyfthtsd400128w | 1 | 台 |
| 232 | 电脑显示器(联想) | L1710A | 联想(北京有限公司 | 1M04337B1050515 | 1 | 台 |
| 233 | 电脑显示器(联想) | 显示器9227-AE6 | 中国联想(北京)有限公司 | 显9M0337891201660 | 1 | 台 |
| 234 | 电脑显示器 | L197WA | 联想北京有限公司 | 3M04351C4555154 | 1 | 台 |
| 235 | 电脑显示器(联想) | L197WA | 联想(北京有限公司 | 3M04351C4555199 | 1 | 台 |
| 236 | 电脑显示器(惠普) | HPLE1851W | 冠捷显示科技有限公司 | CNCO38P2PR | 1 | 台 |
| 237 | 电脑显示器(联想) | L197WA | 联想(北京有限公司 | 4M04345B2980484 | 1 | 台 |
| 238 | 电脑显示器(联想) | L197wA | 联想(北京)有限公司 | 3M04345C1454606 | 1 | 台 |
| 239 | 电脑显示器(联想) | 显:L171 | 中国联想(北京有限公司 | 0M0234373003682 | 1 | 台 |
| 240 | 电脑显示器(联想) | L1710A | 联想(北京有限公司 | 1M04337B1055350 | 1 | 台 |
| 241 | 电脑显示器(IBM) | 显9512-AB1 | 长城国际信息产品(深圳公司DELL | S/N:23CW717 | 1 | 台 |
| 242 | 电脑显示器(DELL) | E177FPC | CN-OFJ179-64180-732-2U8L | 1 | 台 |
| 243 | 电脑显示器(联想) | 显示器9227-AE6 | 中国联想(北京)有限公司 | 显9M0337891201675 | 1 | 台 |
| 244 | 电脑显示器(联想) | 显:LXB-L15E | 上海联想电子电脑公司 | 7M0148061020278 | 1 | 台 |
| 245 | 显示器(戴尔22LED) | E2210C | 戴尔(中国)有限公司 | CN-016VXG-64180-03Q-0PEL | 1 | 台 |
| 246 | 显示器(戴尔22LED) | E2210C | 戴尔(中国)有限公司 | CN-016VXG-64180-03P-1DQL | 1 | 台 |
| 247 | 电脑显示器(IBM) | 液晶显6636-AB1 | 长城国际信息产品(深圳公司 | 23DF266 | 1 | 台 |
| 248 | 电脑显示器(联想) | 显示器9227-AE6 | 中国联想(北京)有限公司 | 9M0337891201677 | 1 | 台 |
| 249 | 工控机显示器(LG) | L1942ST,19寸液晶 | 南京LG新港显示器有限公司 | 序:911NDAYA7688 | 1 | 台 |
| 250 | 服务器显示器(DELL) | UZZIZHMC | DELL公司 | CN-OHH7FJ-64180-37J-0E3L | 1 | 台 |
| 251 | 工控机显示器(LG) | L1942ST,19寸液晶 | 南京LG新港显示器有限公司 | 序:911NDQAA7556 | 1 | 台 |
| 252 | 电脑显示器(IBM) | 液晶显6636-AB1 | 长城国际信息产品(深圳公司 | 23DF266 | 1 | 台 |
| 253 | 电脑显示器(联想) | 显示器9227-AE6 | 中国联想(北京)有限公司 | 9M0337891201677 | 1 | 台 |
| 254 | 显示器(戴尔22LED) | 戴尔:E2210C | 戴尔(中国有限公司 | CN-016VXG-64180-03P-1DPL | 1 | 台 |
| 255 | 电脑显示器(联想) | 联想:L1710A | 联想(北京有限公司 | 3M04337A4466381 | 1 | 台 |
| 256 | 电脑显示器(联想) | L1710A | 联想(北京)有限公司 | 1M04337B1050493 | 1 | 台 |
| 257 | 电脑显示器(联想) | 显示器:9417-HC2 | 联想信息产品有限公司 | VLBWP41 | 1 | 台 |
| 258 | 电脑显示器 | 19寸宽屏L197WA | 联想(北京有限公司 | 3M04345D2078154 | 1 | |
| 259 | 电脑显示器(联想) | 19寸宽屏L197WA | 联想(北京)有限公司 | 3M04345D2078197 | 1 | 台 |
| 260 | 电脑显示器(IBM) | 液晶显6636-AB1 | 长城国际信息产品(深圳公司 | 23GN262 | 1 | 台 |
| 261 | 电脑显示器(联想) | 联想启天M7150E5700 | 联想(北京)有限公司 | 3M04345A5080423 | 1 | 台 |
| 262 | 显示器(戴尔22LED) | 戴尔:E2210C | 戴尔(中国)有限公司 | CN-016VXG-64180-13E-INOL | 1 | 台 |
| 263 | 显示器(戴尔22LED) | 戴尔:E2210C | 戴尔(中国)有限公司 | CN-016VXG-64180-03P-1DUL | 1 | 台 |
| 264 | 电脑显示器(联想) | L1710A | 联想(北京)有限公司 | 1M04337B35 | 1 | 台 |
| 265 | 显示器(戴尔22LED) | 戴尔:E2210C | 戴尔(中国)有限公司 | CN-016VXG-64180-03P-1DVL | 1 | 台 |
| 266 | 显示器(戴尔22LED) | 戴尔:E2210C | 戴尔(中国)有限公司 | CN-016VXG-64180-03Q-0PGL | 1 | 台 |
| 267 | 电脑显示器(联想) | L197wA | 联想(北京)有限公司 | 3M04345C1454162 | 1 | 台 |
| 268 | 显示屏(壁挂式/等离子) | 三星PPM63H30X | 天津三星 | | 1 | 台 |
| 269 | 电脑显示器(IBM) | 液晶显9512-AB1 | 长城国际信息产品(深圳公司 | 23W9215 | 1 | 台 |
| 270 | 显示器(液晶) | 优派VP950b | ViewSonic,中国制造 | QT3084800423 | 1 | 台 |
| 271 | 电脑显示器(联想) | 19寸宽屏L197WA | 联想(北京)有限公司 | 3M04347D0520725 | 1 | 台 |
| 272 | 电脑显示器(联想) | L197wA | 联想(北京)有限公司 | 3M04345C1454607 | 1 | 台 |
| 273 | 电脑显示器(联想) | 显:L1710A | 联想(北京)有限公司 | 3M04337A4466378 | 1 | 台 |
| 274 | 电脑显示器(联想) | L197WA | 联想(北京)有限公司 | 6M04347D1122278 | 1 | 台 |
| 275 | 电脑显示器(联想) | L197WA | 联想(北京)有限公司 | 3M04345D2077536 | 1 | 台 |
| 276 | 电脑显示器(联想) | 显示器9227-AE6 | 联想(北京有限公司 | 显9M0337891201494 | 1 | 台 |
| 277 | 电脑显示器(联想) | L1710A | 联想(北京有限公司 | 1M04337B1050519 | 1 | 台 |
| 278 | 电脑显示器(联想) | 显:L1710A | 联想(北京)有限公司 | 显3M04337A2251682 | 1 | 台 |
| 279 | 电脑显示器(联想) | L1710A | 联想(北京)有限公司 | 1M04337B1050486 | 1 | 台 |
| 280 | 电脑显示器 | L197WA | 联想(北京有限公司 | 3M04347D0521416 | 1 | 台 |
| 281 | 电脑显示器(联想) | 显:LXB-L15E | 联想(北京)有限公司 | 7M0148062121763 | 1 | 台 |
| 282 | 电脑显示器(联想) | 显:L1710A | 联想(北京)有限公司 | 显3M04337A2251847 | 1 | 台 |
| 283 | 电脑显示器(联想) | 显示器:4431-HB2 | 联想信息产品有限公司 | 显示器VLCMZ15 | 1 | 台 |
| 284 | 电脑显示器(IBM) | 液晶显6636-AB1 | 长城国际信息产品(深圳公司 | 23MY623 | 1 | 台 |
| 285 | 电脑显示器(联想) | L1710A | 联想(北京)有限公司 | 1M04337B1050533 | 1 | 台 |
| 286 | 电脑显示器(联想) | 显:L1710A | 联想(北京)有限公司 | 3M04337A4466380 | 1 | 台 |
| 287 | 电脑显示器(联想) | L197wA | 联想(北京)有限公司 | 3M04345C1454152 | 1 | 台 |
| 288 | 显示器(DELL) | P2211Ht | DELL | CN-ORXN22-74445-OBC-338L | 1 | 台 |
| 289 | 显示器(联想) | L197wA | 联想(北京)有限公司 | 3M04347D0521678 | 1 | 台 |
| 290 | 显示屏(等离子) | TH-50PH9 | 上海松下 | | 1 | 台 |
| 291 | 显示器(LG) | L1942ST,19寸LG液晶 | 南京LG新港 | 909NDDMBX394 | 1 | 台 |
| 292 | 电脑显示器(联想) | 19寸宽屏L197WA | 联想(北京有限公司 | 3M04351C4850652 | 1 | 台 |
| 293 | 工业液晶监视器(65寸) | JA-650P01 | 戴尔(中国有限公司 | | 1 | 台 |
| 294 | 电脑显示器 | L197WA | 联想(北京)有限公司 | 3M04345D2077529 | 1 | 台 |
| 295 | 电脑显示器 | 三星913V | GS19HVEY732018V | 三星公司 | 1 | 台 |
| 296 | 电脑显示器 | 三星913V | GS19HVEY07964E | 三星公司 | 1 | 台 |
| 297 | 电脑显示器(联想) | L197WAB | 联想(北京)有限公司 | 3M05515C5256577 | 1 | 台 |
| 298 | 电脑显示器(联想) | L197WAB | 联想(北京)有限公司 | 3M05515C5256574 | 1 | 台 |
| 299 | 电脑显示器(惠普) | 显:HPL1706 | HP | CNC5390DL7 | 1 | 台 |
| 300 | 电脑显示器(联想) | 显:L171 | 中国联想(北京)有限公司 | 0M0232573320136 | 1 | 台 |
| 301 | 电脑显示器(联想) | 显:L1710A | 联想(北京)有限公司 | 3M04337A2251845 | 1 | 台 |
| 302 | 电脑显示器(联想) | 显:L171 | 中国联想(北京)有限公司 | 0M0232573320137 | 1 | 台 |
| 303 | 电脑显示器(联想) | L1710A | 中国联想(北京)有限公司 | 4M0396893968650 | 1 | 台 |
| 304 | 电脑显示器(联想) | 显:L171 | 中国联想(北京)有限公司 | 0M0234373003714 | 1 | 台 |
| 305 | 电脑显示器(IBM) | 液晶显6636-AB1 | 长城国际信息产品(深圳公司 | 23GMV03 | 1 | 台 |
| 306 | 工业显示屏 | 60寸(PS60F500AJ) | 天津三星电子有限公司 | PS60F5000AJXXZ | 1 | 台 |
| 307 | 电脑显示器(联想) | LT2252wD | 联想(北京有限公司 | 6M05628E2500744 | 1 | 台 |
| 308 | 显示器(戴尔22LED) | E2210C | 戴尔(中国)有限公司 | CN-016VXG-64180- | 1 | 台 |
| 309 | 电脑显示器(联想) | 显:L1710A | 联想(北京)有限公司 | 显3M04337A2251842 | 1 | 台 |
| 310 | 电脑显示器(联想) | LT2252wD | 联想(北京有限公司 | 6M05628E2500738 | 1 | 台 |
| 311 | 电脑显示器(DELL) | P2214Hb | 戴尔(中国)有限公司 | CN-OWDFP7-74261- | 1 | 台 |
| 312 | 电脑显示器(联想) | L197WA | 联想(北京有限公司 | 3M04347D0521453 | 1 | 台 |
| 313 | 电脑显示器(联想) | 19寸宽屏L197WA | 联想(北京)有限公司 | 3M04351C4553819 | 1 | 台 |
| 314 | 电脑显示器(联想) | 19寸宽屏L197WA | 联想(北京有限公司 | 3M04351C4555159 | 1 | 台 |
| 315 | 电脑显示器(联想) | 显:L171 | 中国联想(北京)有限公司 | 0M0234373100033 | 1 | 台 |
| 316 | 电脑显示器(联想) | 19寸宽屏L197WA | 联想(北京有限公司 | 3M04347D0521658 | 1 | 台 |
| 317 | 电脑显示器(联想) | L1710A | 联想(北京)有限公司 | 1M04337B1050491 | 1 | 台 |
| 318 | 电脑显示器(联想/IBM) | 9417-HC2 | 联想信息产品(深圳有限公司 | 显示器:VLVZM39 | 1 | 台 |
| 319 | 电脑显示器(联想) | L197wA | 联想(北京)有限公司 | 3M04345C1454610 | 1 | 台 |
| 320 | 电脑显示器(联想) | L1710A | 联想(北京)有限公司 | 1M04337B1050485 | 1 | 台 |
| 321 | 电脑显示器(联想) | 显:LXB-L15E | 联想(北京)有限公司 | 7M0148060922929 | 1 | 台 |
| 322 | 电脑显示器(联想) | L1710A | 中国联想(北京)有限公司 | 4M0396893968596 | 1 | 台 |
| 323 | 电脑显示器(联想) | L1710A | 联想(北京)有限公司 | 4M0396893968611 | 1 | 台 |
| 324 | 电脑显示器(联想) | LT2252wD | 联想(北京有限公司 | 6M05628E2500721 | 1 | 台 |
| 325 | 电脑显示器(联想) | L197WA | 联想(北京)有限公司 | 3M04347D0520644 | 1 | 台 |
| 326 | LED显示屏 | 3.75双色,颗粒间距 | 爱立德 | 无 | 1 | 块 |
| 327 | 电脑显示器(联想) | L197WA | 联想(北京有限公司 | 6M04347D2020479 | 1 | 台 |
| 328 | 电脑显示器(联想) | L197WA | 联想(北京)有限公司 | 6M04347D1122178 | 1 | 台 |
| 329 | 电脑显示器(联想) | L197wA | 联想(北京)有限公司 | 3M04345C1454613 | 1 | 台 |
| 330 | 电脑显示器(联想) | T2254A | 联想(北京)有限公司 | 1S60F6HCRICAUO2HY439 | 1 | 台 |
| 331 | 电脑显示器(联想) | 显示器9227-AE6 | 中国联想(北京)有限公司 | 显9M0337891201678 | 1 | 台 |
| 332 | 工业液晶监视器(65寸) | JA-650P01 | 戴尔(中国有限公司 | 不详 | 1 | 台 |
| 333 | 电脑显示器(联想) | L197WA | 联想(北京有限公司 | 3M04347D0521607 | 1 | 台 |
| 334 | 电脑显示器(联想) | 显示器9227-AE6 | 中国联想(北京有限公司 | 显9M0337891201493 | 1 | 台 |
| 335 | 电脑显示器(联想) | LT2252wD | 联想(北京有限公司 | 6M05628E2500734 | 1 | 台 |
| 336 | 显示器 | 显:戴尔E170SC,17 | 戴尔 | 序CN-00V539-64180-083-0JXC | 1 | 台 |
| 337 | 显示器(DELL) | P190Sb | 戴尔 | CN-OWP6R6-74261-15G-118L | 1 | 台 |
| 338 | 显示器(戴尔22LED) | E2210C | 戴尔(中国)有限公司 | CN-016VXG-64180-03Q-0PBL | 1 | 台 |
| 339 | 电脑显示器(联想) | LT2252wD | 联想(北京有限公司 | 6M05628E2500748 | 1 | 台 |
| 340 | 电脑显示器(联想/IBM) | 9417-HC2 | 联想信息产品(深圳有限公司 | 显示器:VLVZC67 | 1 | 台 |
| 341 | 电脑显示器(联想) | L197wA | 联想(北京有限公司 | 3M04345C1454160 | 1 | 台 |
| 342 | 电脑显示器(联想) | L197WA | 联想(北京有限公司 | 3M04345D2078561 | 1 | 台 |
| 343 | 电脑显示器(联想) | L197WA | 联想(北京有限公司 | 3M04347D0520574 | 1 | 台 |
| 344 | 电脑显示器(联想) | L197WA | 联想(北京有限公司 | 3M04345D2078196 | 1 | 台 |
| 345 | 电脑显示器(联想) | T2254A | 联想(北京)有限公司 | 1S60CDHCR7CAU1289810 | 1 | 台 |
| 346 | 电脑显示器(联想) | T2254A | 联想(北京)有限公司 | 1S60CDHCR7CAU1289754 | 1 | 台 |
| 347 | 电脑显示器(联想) | LT2252wD | 联想(北京有限公司 | 6M05628E2500766 | 1 | 台 |
| 348 | 电脑显示器(联想) | 显:L1710A | 联想(北京有限公司 | 显3M04337A2251846 | 1 | 台 |
| 349 | 显示器(戴尔22LED) | E2210C | 戴尔(中国)有限公司 | CN-016VXG-64180-03P-1D4L | 1 | 台 |
| 350 | 电脑显示器(联想) | L197wA | 联想(北京有限公司 | 3M04345C1454163 | 1 | 台 |
| 351 | 电脑显示器(联想) | T2254A | 联想(北京)有限公司 | 1S60CDHCR7CAU1289814 | 1 | 台 |
| 352 | 电脑显示器(联想) | L197WA | 联想(北京)有限公司 | | 1 | 台 |
| 353 | 电脑显示器(联想) | L197WA | 联想(北京有限公司 | 6M04347D1122136 | 1 | 台 |
| 354 | 电脑显示器(联想) | L197WA | 联想(北京)有限公司 | 3M04351C4555201 | 1 | 台 |
| 355 | 电脑显示器(联想) | L197wA | 联想(北京)有限公司 | 3M04345C1454624 | 1 | 台 |
| 356 | 电脑显示器(联想) | 19寸宽屏L197WA | 联想(北京有限公司 | 3M04345D2078207 | 1 | 台 |
| 357 | 电脑显示器(联想) | L197wA | 联想(北京)有限公司 | 3M04345C1454604 | 1 | 台 |
| 358 | 电脑显示器(联想) | L197WA | 联想(北京有限公司 | 3M04345D2078181 | 1 | 台 |
| 359 | 电脑显示器(联想) | T2254A | 联想(北京)有限公司 | 1S60F6HCRICAUO2HY132 | 1 | 台 |
| 360 | 电脑显示器(联想) | 19寸宽屏L197WA | 联想(北京有限公司 | 3M04345D2078178 | 1 | 台 |
| 361 | 电脑显示器(联想) | L197WA | 联想(北京有限公司 | 3M04347D0521468 | 1 | 台 |
| 362 | 电脑显示器(联想) | 19寸宽屏L197WA | 联想(北京)有限公司 | | 1 | 台 |
| 363 | 电脑显示器(联想) | T2254A | 联想(北京)有限公司 | 1S60CDHCR7CAU1289654 | 1 | 台 |
| 364 | 电脑显示器(联想) | LT2252wD | 联想(北京有限公司 | 6M05628E2500733 | 1 | 台 |
| 365 | 服务器显示器(戴尔) | E2210C | 戴尔公司 | CN-016VXG-64180-0AQ-03GL | 1 | 台 |
| 366 | 电脑显示器(联想) | 19寸宽屏L197WA | 联想(北京)有限公司 | 3M04347D0521112 | 1 | 台 |
| 367 | 工业显示屏 | US40F5080(40寸) | 天津三星电子有限公司 | ZXN93TAD306168N | 1 | 台 |
| 368 | 电脑显示器(联想) | L197WA | 联想(北京有限公司 | | 1 | 台 |
| 369 | 工业显示屏 | DH-LM65-F400 | 浙江大华技术股份有限公司 | PZOIDKG00020186 | 1 | 台 |
| 370 | 电脑显示器(联想) | T2254A | 联想(北京)有限公司 | 1S60CDHCR7CAU1289259 | 1 | 台 |
| 371 | 电脑显示器(戴尔) | P190sb | 戴尔(中国)有限公司 | CN-OWP6R6-74261-07R-4CAST | 1 | 台 |
| 372 | 电脑显示器(联想) | T2254A | 联想(北京)有限公司 | 1S60F6HCRICAUO2HY430 | 1 | 台 |
| 373 | 电脑显示器(联想) | T2254A | 联想(北京)有限公司 | 1S60CDHCR7CAU1289488 | 1 | 台 |
| 374 | 电脑显示器(联想) | L1710A | 联想(北京)有限公司 | 1M04337B1050516 | 1 | 台 |
| 375 | 电脑显示器(联想) | L197WA | 联想(北京)有限公司 | 3M04345D2078209 | 1 | 台 |
| 376 | 电脑显示器(联想) | L197wA | 联想(北京)有限公司 | 3M04345C1454165 | 1 | 台 |
| 377 | 电脑显示器(联想) | L197WA | 联想(北京有限公司 | 3M04345D2078190 | 1 | 台 |
| 378 | 电脑显示器(联想) | T2254A | 联想(北京)有限公司 | 1S60CDHCR7CAU1289819 | 1 | 台 |
| 379 | 电脑显示器(联想) | T2254A | 联想(北京)有限公司 | 1S60CDHCR7CAU1289839 | 1 | 台 |
| 380 | 电脑显示器(联想) | T2254A | 联想(北京)有限公司 | 1S60F6HCRICAUO2HY536 | 1 | 台 |
| 381 | 电脑显示器(联想) | T2254A | 联想(北京)有限公司 | 1S60F6HCRICAUO2HY160 | 1 | 台 |
| 382 | 电脑显示器(联想) | T2254A | 联想(北京)有限公司 | 1S60CDHCR7CAU1289807 | 1 | 台 |
| 383 | 显示器(睿讯) | Resion17寸 | 深圳睿讯世纪科技有限公司联想(北京)有限公司 | | 1 | 台 |
| 384 | 电脑显示器(联想) | T2254A | 1S60F6HCRICAUO2HY129 | 1 | 台 |
| 385 | 显示器(戴尔) | E2417H | 戴尔(中国)有限公司 | CN-03KR5V-QDC00-92G-4A8B-A06 | 1 | 台 |
| 386 | 电脑显示器(IBM) | 液晶显6636-AB1 | 长城国际信息产品深圳公司 | 23MX900 | 1 | 台 |
| 387 | 显示器(coocaa) | coocaa24寸/K24 | coocaa | | 1 | 台 |
| 388 | 显示器(coocaa) | coocaa24寸/K24 | coocaa | | 1 | 台 |
| 389 | 显示器(coocaa) | coocaa24寸/K24 | coocaa | | 1 | 台 |
| 390 | 显示器(coocaa) | coocaa24寸/K24 | coocaa | | 1 | 台 |
| 391 | 电脑显示器(联想) | LT2252wD | 联想(北京有限公司 | 6M05628E2500711 | 1 | 台 |
| 392 | 电脑显示器(戴尔) | 显:E190sf | 戴尔(中国)有限公司 | CN-OORT6Y-72872-07J-ORJI | 1 | 台 |
| 393 | 显示器(戴尔) | E2210C(22寸LED) | 戴尔(中国)有限公司 | CN-016VXG-64180-03P-1D6L | 1 | 台 |
| 394 | 电脑显示器(戴尔) | 显:E190sf | 戴尔(中国)有限公司 | CN-00RT6Y-72872-07J-ORJI | 1 | 台 |
| 395 | 电脑显示器(DELL) | U2211Ht | 戴尔中国制造 | ....156-402L | 1 | 台 |
| 396 | 电脑显示器(DELL) | U2211Ht | 戴尔中国制造 | ..156-399L | 1 | 台 |
| 397 | 显示器 | THINKVISION(197WIDE) | 联想(北京有限公司 | 6M05291C3502306 | 1 | 台 |
| 398 | 电脑主机 | 兼容机 | 达硕 | | 1 | 台 |
| 399 | 电脑主机 | 兼容机 | | G430HKC2D078 | 1 | 台 |
| 400 | 电脑主机AXIOM | 兼容机 | | S02614591C00016 | 1 | 台 |
| 401 | 电脑主机 | 方正卓越2000-PI266 | 北京北大方正电子有限公司计算机系统工程分公司 | | 1 | 台 |
| 402 | 电脑主机(同创) | IP2-266B | 南京同创信息产业集团有限公司 | 9807CPCG295 | 1 | 台 |
| 403 | 电脑主机 | 6578-B2C | 长城国际信息产品(深圳有限公司 | 99GHFR6 | 1 | 台 |
| 404 | 电脑(方正) | 998100CH3000/200 | 北大方正集团公司 | 9815760 | 1 | 台 |
| 405 | 电脑主机 | IBM6563-22C | 长城国际信息产品(深圳公司 | 99V2430 | 1 | 台 |
| 406 | 电脑(兼容机外壳:天娇) | ACER386SX(原) | 台湾 | 显:M033D002321 | 1 | 台 |
| 407 | 电脑主机(联想) | 联想逐日2000,6C/533 | 联想(北京)有限公司 | 主机SA00753954 | 1 | 台 |
| 408 | 电脑(IBM)主机 | PC300GL,6563-V1C | 长城国际信息产品(深圳公司 | 主99PMDTLPII550 | 1 | 台 |
| 409 | 电脑(IBM)主机 | IBM2163-446(机) | 长城国际信息产品(深圳公司 | 主机99-9342 | 1 | 台 |
| 410 | 电脑的主机 | C533兼容机 | | | 1 | 台 |
| 411 | 电脑主机IBM | | | | 1 | 台 |
| 412 | 电脑(IBM)--主机 | 主机2169-G6C | 长城国际信息产品(深圳公司 | 主机99DRM94 | 1 | 台 |
| 413 | 电脑主机(IBM) | 2194-9DCNETVISTA | 长城国际信息产品深圳公司 | 主99F9035,PII933 | 1 | 台 |
| 414 | 电脑主机(IBM) | 6578-I32 | 长城国际信息产品(深圳公司 | 主机S/N:999YMRX | 1 | 台 |
| 415 | 电脑(联想) | 联想启天21006C/1G | 联想(北京)有限公司 | 主机SA01876051 | 1 | 套 |
| 416 | 电脑(hp主,BenQ显17") | VectraYL420DT | 主:上海惠普:显:明基电通信息 | 主:CN20204819 | 1 | 套 |
| 417 | 电脑(IBM)主机 | IBM8319-KBC | 长城国际信息产品(深圳公司 | 主机S/N:99YY967 | 1 | 台 |
| 418 | 电脑主机(IBM) | IBM8319-KBC | 长城国际信息产品深圳公司 | 主机S/N:99YY923 | 1 | 台 |
| 419 | 电脑主机(IBM) | IBM8319-13C | 长城国际信息产品(深圳公司 | 主机S/N:99AB363 | 1 | 台 |
| 420 | 电脑主机(IBM) | IBM8319-KBC | 长城国际信息产品(深圳公司 | 主机S/N:99YZ485 | 1 | 台 |
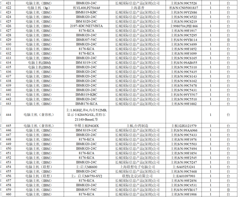
| 421 | 电脑主机(IBM) | IBM8320-24C | 长城国际信息产品深圳公司 | 主机S/N:99C5526 | 1 | 台 |
| 422 | 电脑主机(hp) | 机VL400.P2704A# | 上海惠普 | 机S/N:CN05001837 | 1 | 台 |
| 423 | 电脑主机(IBM) | IBM8319-KBC | 长城国际信息产品(深圳公司 | 主机S/N:99YZ486 | 1 | 台 |
| 424 | 电脑主机(IBM) | IBM8320-24C | 长城国际信息产品深圳公司 | 主机S/N:99C4522 | 1 | 台 |
| 425 | 电脑主机(IBM) | IBM8320-24C | 长城国际信息产品深圳公司 | 主机S/N:99C6219 | 1 | 台 |
| 426 | 电脑主机(IBM) | 2197-8DCNETVISTA | 长城国际信息产品深圳公司 | 主9980704,PII866 | 1 | 台 |
| 427 | 电脑主机(IBM) | 8176-KCA | 长城国际信息产品深圳公司 | 主机S/N:99F3917 | 1 | 台 |
| 428 | 电脑主机(IBM) | IBM8320-24C | 长城国际信息产品深圳公司 | 主机S/N:99C5295 | 1 | 台 |
| 429 | 电脑主机(IBM) | IBM8307-54C | 长城国际信息产品(深圳公司 | 主机S/N:99YB114 | 1 | 套 |
| 430 | 电脑主机(IBM) | IBM8320-24C | 长城国际信息产品(深圳公司 | 主机S/N:99C4499 | 1 | 台 |
| 431 | 电脑主机(IBM) | 8176-KCA | 长城国际信息产品(深圳公司 | 主机S/N:99F3852 | 1 | 台 |
| 432 | 电脑主机(IBM) | 8176-KCA | 长城国际信息产品深圳公司 | 主机S/N:99F3099 | 1 | 台 |
| 433 | 电脑主机(IBM) | IBM8320-24C | 长城国际信息产品(深圳公司 | 主机S/N:99C6165 | 1 | 台 |
| 434 | 电脑主机(IBM | IBM8319-13C | 长城国际信息产品(深圳公司 | 主机S/N:99AB455 | 1 | 台 |
| 435 | 电脑主机(IBM) | IBM8320-24C | 长城国际信息产品(深圳公司 | 主机S/N:99C5310 | 1 | 台 |
| 436 | 电脑主机(IBM) | IBM8320-24C | 长城国际信息产品(深圳公司 | 主机S/N:99C5435 | 1 | 台 |
| 437 | 电脑主机(IBM) | IBM8320-24C | 长城国际信息产品(深圳)公司 | 主机S/N:99C6143 | 1 | 台 |
| 438 | 电脑主机(IBM) | IBM8320-24C | 长城国际信息产品(深圳公司 | 主机SN:99C6162 | 1 | 台 |
| 439 | 电脑主机(IBM) | IBM8320-24C | 长城国际信息产品深圳公司 | 主机S/N:99C5478 | 1 | 台 |
| 440 | 电脑主机(IBM) | IBM8320-24C | 长城国际信息产品(深圳公司 | 主机S/N:99C5431 | 1 | 台 |
| 441 | 电脑主机(IBM) | IBM8319-KBC | 长城国际信息产品(深圳公司 | 主机S/N:99YY917 | 1 | 台 |
| 442 | 电脑主机(IBM) | IBM8320-24C | 长城国际信息产品(深圳公司 | 主机S/N:99C5510 | 1 | 台 |
| 443 | 电脑主机(IBM) | IBM8176-KCA | 长城国际信息产品(深圳公司 | 主机S/N:99F3882 | 1 | 台 |
| 444 | 电脑主机(容机) | 主:1.8GHZ奔4,内存512MB显示卡82845G/GL英特尔21140-Based等 | | | 1 | 台 |
| 445 | 电脑主机(兼容机) | 华硕主板P4G8X | 主板,台湾制造 | 主板32ZG121579 | 1 | 台 |
| 446 | 电脑主机(IBM) | IBM8319-13C | 长城国际信息产品(深圳公司 | 主机S/N:99AA966 | 1 | 台 |
| 447 | 电脑主机(IBM) | IBM8320-24C | 长城国际信息产品(深圳公司 | 主机S/N:99C5433 | 1 | 台 |
| 448 | 电脑主机(IBM) | 8176-KCA | 长城国际信息产品深圳公司 | 主机S/N:99F3976 | 1 | 台 |
| 449 | 电脑主机(IBM) | IBM8320-24C | 长城国际信息产品深圳公司 | 主机SN:99C5503 | 1 | 台 |
| 450 | 电脑主机(IBM) | IBM8320-24C | 长城国际信息产品深圳公司 | 主机S/N:99C5494 | 1 | 台 |
| 451 | 电脑主机(IBM) | 8176-KCA | 长城国际信息产品深圳公司 | 主机S/N:99F3854 | 1 | 台 |
| 452 | 电脑主机(IBM) | 8176-KCA | 长城国际信息产品(深圳公司 | 主机S/N:99F2545 | 1 | 台 |
| 453 | 电脑主机(IBM) | IBM8320-24C | 长城国际信息产品(深圳公司 | 主机S/N:99C5247 | 1 | 台 |
| 454 | 电脑主机(联想) | 主:启天M6600 | 上海联想电子电脑公司 | 主:SA05253241 | 1 | 台 |
| 455 | 电脑主机(IBM) | IBM8320-24C | 长城国际信息产品(深圳公司 | 主机S/N:99C5468 | 1 | 台 |
| 456 | 电脑主机(联想) | 主:启天M4750-SY2 | 联想(北京有限公司 | 主:EA01097993 | 1 | 台 |
| 457 | 电脑主机(IBM) | 8176-KCA | 长城国际信息产品(深圳公司 | 主机S/N:99F2856 | 1 | 台 |
| 458 | 电脑主机(IBM) | IBM8320-24C | 长城国际信息产品(深圳公司 | 主机S/N:99C4531 | 1 | 台 |
| 459 | 电脑主机(IBM) | IBM8307-54C | 长城国际信息产品(深圳公司 | 主机S/N:99YB317 | 1 | 套 |
| 460 | 电脑主机(IBM) | 8176-KCA | 长城国际信息产品(深圳公司 | 主机S/N:99F3906 | 1 | 台 |
| 461 | 电脑主机(IBM) | IBM8319-13C | 长城国际信息产品(深圳公司 | 主机S/N:99AB391 | 1 | 台 |
| 462 | 电脑主机(IBM) | IBM8319-KBC | 长城国际信息产品(深圳公司 | 主机S/N:99YY867 | 1 | 台 |
| 463 | 电脑主机(IBM) | IBM8320-24C | 长城国际信息产品深圳公司 | 主机S/N:99C6161 | 1 | 台 |
| 464 | 电脑主机(IBM) | IBM8320-24C | 长城国际信息产品(深圳公司 | 主机S/N:99C5313 | 1 | 台 |
| 465 | 电脑主机(IBM) | IBM8307-54C | 长城国际信息产品(深圳公司 | 主机S/N:99YB252 | 1 | 套 |
| 466 | 电脑主机(IBM) | IBM8307-54C | 长城国际信息产品(深圳公司 | 主机S/N:99YB220 | 1 | 台 |
| 467 | 电脑主机(IBM) | 8176-KCA | 长城国际信息产品(深圳公司 | 主机S/N:99F3098 | 1 | 台 |
| 468 | 电脑主机(IBM) | IBM8319-13C | 长城国际信息产品(深圳公司 | 主机S/N:99AB329 | 1 | 台 |
| 469 | 电脑主机(IBM) | 8086-KCA | 长城国际信息产品(深圳公司 | 主机S/N:99K0117 | 1 | 台 |
| 470 | 电脑主机(IBM) | IBM8319-KBC | 长城国际信息产品(深圳公司 | 主机SN:99YY960 | 1 | 台 |
| 471 | 电脑主机(方正) | 方正圆明LT200A | 方正 | 主S/N:DAE3107023 | 1 | 台 |
| 472 | 电脑主机(IBM) | IBM8320-24C | 长城国际信息产品(深圳公司 | 主机S/N:99C5506 | 1 | 台 |
| 473 | 电脑(IBM) | IBM6578-I32(机) | 长城国际信息产品深圳公司 | 主机999ZKDH | 1 | 台 |
| 474 | 电脑(戴尔)主机 | 6*6202,OPTIPLEXGX620 | 戴尔公司 | 机:4T65T1X | 1 | 台 |
| 475 | 电脑主机(联想) | 主:启天M4750-SY2 | 上海联想电子电脑公司 | 主:EA01098009 | 1 | 台 |
| 476 | 电脑主机(联想) | 主:启天M4750-SY3 | 联想(北京)有限公司 | 主:EA01098008 | 1 | 台 |
| 477 | 电脑主机(IBM) | 8176-KCA | 长城国际信息产品(深圳公司 | 主机S/N:99F3050 | 1 | 台 |
| 478 | 电脑主机(IBM) | 8176-KCA | 长城国际信息产品(深圳公司 | 主机S/N:99F3063 | 1 | 台 |
| 479 | 电脑主机(联想) | 主:启天M4750-SY4 | 联想(北京有限公司 | 主:EA01098017 | 1 | 台 |
| 480 | 电脑主机(联想) | 主:启天M4750-SY2 | 联想(北京有限公司 | 主:EA01097996 | 1 | 台 |
| 481 | 电脑主机(IBM) | IBM8307-54C | 长城国际信息产品(深圳公司 | 主机S/N:99YB164 | 1 | 台 |
| 482 | 电脑主机(联想) | 主:启天M4750-SY2 | 联想(北京)有限公司 | 主:EA01098004 | 1 | 台 |
| 483 | 电脑主机(联想) | 主:启天M6600 | 上海联想电子电脑公司 | 主:SA05253240 | 1 | 台 |
| 484 | 电脑主机(IBM) | IBM8307-54C | 长城国际信息产品(深圳公司 | 主机S/N:99YB296 | 1 | 套 |
| 485 | 电脑主机(IBM) | 8176-KCA | 长城国际信息产品(深圳公司 | 主机S/N:99F3954 | 1 | 台 |
| 486 | 电脑主机(IBM) | 主机:2289-12C | 长城国际信息产品深圳公司 | 主机99A0167 | 1 | 台 |
| 487 | 电脑主机(IBM) | 8176-KCA | 长城国际信息产品(深圳公司 | 主机S/N:99F2838 | 1 | 台 |
| 488 | 电脑主机(IBM) | IBM8307-54C | 长城国际信息产品(深圳公司 | 主机SN:99YB087 | 1 | 台 |
| 489 | 电脑主机(IBM) | IBM8320-24C | 长城国际信息产品(深圳公司 | 主机S/N:99C4562 | 1 | 台 |
| 490 | 电脑主机(IBM) | IBM8320-24C | 长城国际信息产品(深圳公司 | 主机S/N:99C4529 | 1 | 台 |
| 491 | 电脑主机(IBM) | IBM8320-24C | 长城国际信息产品(深圳公司 | 主机S/N:99C5499 | 1 | 台 |
| 492 | 电脑主机(联想) | 主:启天M6600 | 上海联想电子电脑公司 | 主:SA05253238 | 1 | 台 |
| 493 | 电脑主机(联想) | 主:启天M4750-SY2 | 联想(北京)有限公司 | 主:EA01098015 | 1 | 台 |
| 494 | 电脑主机(IBM) | IBM6792-K3C(机) | 长城国际信息产品深圳公司 | 主机99DGXBZ | 1 | 台 |
| 495 | 电脑主机(IBM) | IBM8307-54C | 长城国际信息产品(深圳公司 | 主机SN:99YB218 | 1 | 台 |
| 496 | 电脑主机(IBM) | IBM8320-24C | 长城国际信息产品(深圳公司 | 主机S/N:99C5500 | 1 | 台 |
| 497 | 电脑主机(联想) | 主:启天M6600 | 上海联想电子电脑公司 | 主:SA05253237 | 1 | 台 |
| 498 | 电脑主机(联想) | 主:启天M4750-SY2 | 联想(北京)有限公司 | 主:EA01098011 | 1 | 台 |
| 499 | 电脑主机(IBM) | IBM8320-24C | 长城国际信息产品(深圳公司 | 主机S/N:99C4561 | 1 | 台 |
| 500 | 电脑主机(联想) | 主:启天M4750-SY2 | 上海联想电子电脑公司 | 主:EA01098002 | 1 | 台 |
| 501 | 电脑主机(IBM) | 8176-KCA | 长城国际信息产品(深圳公司 | 主机S/N:99F2975 | 1 | 台 |
| 502 | 电脑主机(联想) | 主:启天M4750-SY2 | 上海联想电子电脑公司 | 主:EA01098007 | 1 | 台 |
| 503 | 电脑主机(IBM) | 8176-KCA | 长城国际信息产品(深圳公司 | 主机S/N:99F3970 | 1 | 台 |
| 504 | 电脑主机(联想)主:启天M4750-SY2上海联想电子电脑公司主:EA01097994 | 台 |
| 505 | 电脑主机(IBM) | IBM8320-24C | 长城国际信息产品(深圳公司 | 主机SN:99C4898 | 11 | 台 |
| 506 | 电脑主机(IBM) | IBM8320-24C | 长城国际信息产品(深圳公司 | 主机S/N:99C6196 | | 台 |
| 507 | 电脑主机(IBM) | 8176-KCA | 长城国际信息产品(深圳公司 | 主机S/N:99F2998 | 1 | 台 |
| 508 | 电脑主机(联想) | 主机:家悦D2020E,S64 | 联想(北京)有限公司 | 主机E00871222 | 1 | 台 |
| 509 | 电脑主机(联想) | 主:启天M4750-SY2 | 联想(北京有限公司 | 主:EA01097997 | 1 | 台 |
| 510 | 电脑主机(联想) | 主:启天M4750-SY2 | 联想(北京有限公司 | 主:EA01098005 | 1 | 台 |
| 511 | 电脑主机(联想) | 主:启天M4750-SY2 | 联想(北京)有限公司 | 主:EA01097998 | 1 | 台 |
| 512 | 电脑主机(IBM) | 8176-KCA | 长城国际信息产品(深圳)公司 | 主机S/N:99F2954 | 1 | 台 |
| 513 | 电脑主机(IBM) | 2194-69C,Netvidta | 长城国际信息产品(深圳公司 | 主99D3838 | 1 | 台 |
| 514 | 电脑主机(IBM) | IBM8320-24C | 长城国际信息产品(深圳公司 | 主机S/N:99C4493 | 1 | 台 |
| 515 | 电脑主机(IBM) | IBM8320-24C | 长城国际信息产品(深圳公司 | 主机S/N:99C4549 | 1 | 台 |
| 516 | 电脑主机(IBM) | IBM8320-24C | 长城国际信息产品(深圳公司 | 主机SN:99C5483 | 1 | 台 |
| 517 | 电脑主机(IBM) | 8176-KCA | 长城国际信息产品(深圳公司 | 主机S/N:99F3834 | 1 | 台 |
| 518 | 电脑主机(IBM) | 8176-KCA | 长城国际信息产品(深圳公司 | 主机S/N:99F3853 | 1 | 台 |
| 519 | 电脑主机(IBM) | 8176-KCA | 长城国际信息产品(深圳公司 | 主机S/N:99F3971 | 1 | 台 |
| 520 | 电脑主机(戴尔) | 6*6204,OPTIPLEXGX620 | 戴尔公司 | 机:3T65TIX | 1 | 台 |
| 521 | 电脑主机(联想) | 主:启天M4750-SY2 | 联想(北京)有限公司 | 主:EA01098012 | 1 | 台 |
| 522 | 电脑主机(联想) | 主:启天M6600 | 联想(北京)有限公司 | 主:SA05253236 | 1 | 台 |
| 523 | 电脑主机(联想) | 主:启天M4750-SY2 | 联想(北京)有限公司 | 主EA01098016 | 1 | 台 |
| 524 | 电脑主机(联想) | 主:扬天M4800V | 中国联想(北京)有限公司 | 主机:ES02417684 | 1 | 台 |
| 525 | 电脑主机(联想) | 主:扬天M4800V | 中国联想(北京)有限公司 | 主机:ES02417604 | 1 | 台 |
| 526 | 电脑主机(联想) | 主:扬天M4800V | 中国联想(北京)有限公司 | 主机:ES02417498 | 1 | 台 |
| 527 | 电脑主机(IBM) | IBM8320-24C | 长城国际信息产品深圳公司 | 主机S/N:99C4558 | 1 | 台 |
| 528 | 电脑主机(IBM) | 8176-KCA | 长城国际信息产品(深圳公司 | 主机S/N:99F2971 | 1 | 台 |
| 529 | 电脑主机(IBM) | 8176-KCA | 长城国际信息产品(深圳公司 | 主机S/N:99F2492 | 1 | 台 |
| 530 | 电脑主机(联想) | 主:启天M4750-SY2 | 联想(北京)有限公司 | 主:EA01097999 | 1 | 台 |
| 531 | 电脑主机(戴尔) | 6*6204,OPTIPLEXGX620 | 戴尔公司 | 机:2T65TIX | 1 | 台 |
| 532 | 电脑主机(联想) | 9439-A48 | 联想信息产品有限公司 | 主机:L3A5099 | 1 | 台 |
| 533 | 电脑主机(联想) | 主:启天M4750-SY2 | 联想(北京)有限公司 | 主:EA01098001 | 1 | 台 |
| 534 | 电脑主机(百盛) | C505 | 深圳市航嘉创威销售有限公司 | | 1 | 台 |
| 535 | 电脑主机(联想) | 9439-A48 | 联想信息产品有限公司 | 主机:L3A5097 | 1 | 台 |
| 536 | 电脑主机(IBM) | 8176-KCA | 长城国际信息产品(深圳公司 | 主机S/N:99F3960 | 1 | 台 |
| 537 | 电脑主机(联想) | 主:启天M4750-SY2 | 联想(北京)有限公司 | 主:EA0109795 | 1 | 台 |
| 538 | 电脑主机(联想) | 主:扬天M4800V | 中国联想(北京)有限公司 | 主机:ES02417577 | 1 | 台 |
| 539 | 电脑主机(惠普) | DX6120P42.8/512/80G | HP | CNG5250LYY | 1 | 台 |
| 540 | 电脑主机(联想) | 主:启天M6600 | 上海联想电子电脑公司 | 主:SA05253239 | 1 | 台 |
| 541 | 电脑主机(实达) | 时代风华698*9905 | 实达电脑科技有限公司 | 主0200*00063073 | 1 | 台 |
| 542 | 电脑主机(IBM) | 8176-KCA | 长城国际信息产品(深圳公司 | 主机S/N:99F2546 | 1 | 台 |
| 543 | 电脑主机(联想) | 启天MZ2200,ICD/2.6GSY2 | 联想(北京)有限公司 | 主机SN:EA00164870 | 1 | 台 |
| 544 | 电脑主机(IBM) | IBM8320-24C | 长城国际信息产品(深圳公司 | 主机S/N:99C4515 | 1 | 台 |
| 545 | 1 |
| 546 | 工控机,威达工控机主机(研华) | P42.8G/80G7200转主机IPC-510 | 台湾威达研华 | 主CDAB581893 | 1 | 台台 |
| 547 | 工业PC机主机 | 主机IPC-810B | 长城计算机深圳股份有限公司石岩分公司 | 主E5DIB03002346 | 1 | 台 |
| 548 | 电脑主机(联想) | 主机M8000t | 中国联想(北京有限公司 | 主ES03005246 | 1 | 台 |
| 549 | 电脑主机(联想) | 主:启天M4750-SY2 | 上海联想电子电脑公司 | 主:EA01098010 | 1 | 台 |
| 550 | 电脑主机(IBM) | IBM8320-24C | 长城国际信息产品(深圳公司 | 主机S/N:99C4500 | 1 | 台 |
| 551 | 电脑主机(联想) | 主:启天M4750-SY2 | 上海联想电子电脑公司 | 主:EA01098014 | 1 | 台 |
| 552 | 电脑主机(IBM) | NETVISTA2289-12C | 长城国际信息产品(深圳公司 | 主机99A2022 | 1 | 台 |
| 553 | 电脑主机(点歌器) | 主机箱:Delux多彩380C | | | 1 | 台 |
| 554 | 电脑主机(IBM) | Netvista.2259-B6C | 长城国际信息产品深圳公司 | 主99B2485PIV1.5C | 1 | 台 |
| 555 | 电脑主机(联想) | 9439-A48 | 联想信息产品有限公司 | 主机:L3A5096 | 1 | 台 |
| 556 | 电脑主机(DELL) | OPTPLEX745 | DELL | 上缴主机:GYLK42X | 1 | 台 |
| 557 | 电脑主机(联想) | 主:启天M4750-SY2 | 联想(北京)有限公司 | 主:EA01098006 | 1 | 台 |
| 558 | 电脑主机(DELL) | 主OPTIPLEX-330 | 戴尔公司(中国) | 主机3GVVG2X | 1 | 台 |
| 559 | 电脑主机(联想) | 9439-A48 | 联想信息产品有限公司 | 主机:L3A5100 | 1 | 台 |
| 560 | 电脑主机(联想) | 主:扬天M4800V | 中国联想(北京)有限公司 | 主机:ES02417646 | 1 | 台 |
| 561 | 电脑主机(IBM) | 8176-KCA | 长城国际信息产品(深圳公司 | 主机S/N:99F2989 | 1 | 台 |
| 562 | 电脑主机(联想/IBM) | 9439-A59 | 联想信息产品(深圳有限公司 | 主机:L3G7745 | 1 | 台 |
| 563 | 电脑主机(联想) | THINKM8000T | 联想(北京)有限公司 | 主:EA05277880 | 1 | 台 |
| 564 | 电脑主机(联想) | ThinkCentre9641 | 中国联想(北京)有限公司 | 主机:L3A1217 | 1 | 台 |
| 565 | 电脑主机(联想) | M8000T | 联想(北京)有限公司 | 主ES03005238 | 1 | 台 |
| 566 | 电脑主机(IBM) | 8176-KCA | 长城国际信息产品(深圳公司 | 主机S/N:99F3000 | 1 | 台 |
| 567 | 电脑主机(联想) | THNKM8000T | 联想(北京)有限公司 | 主:EA05277878 | 1 | 台 |
| 568 | 电脑主机(联想) | THINKM8000T | 联想(北京)有限公司 | 主:EA05277877 | 1 | 台 |
| 569 | 电脑主机(联想) | M8000t | 中国联想(北京)有限公司 | 主机:EA04392460 | 1 | 台 |
| 570 | 电脑主机(联想) | 主:扬天T2900V,显:L175D | 联想(北京)有限公司 | 主机ES06069696 | 1 | 台 |
| 571 | 电脑主机(联想) | 主:启天M4750-SY2 | 联想(北京)有限公司 | 主:EA01098003 | 1 | 台 |
| 572 | 电脑主机(IBM) | IBM8320-24C | 长城国际信息产品(深圳公司 | 主机S/N:99C5244 | 1 | 台 |
| 573 | 电脑主机(联想) | THINKM8000T | 联想(北京有限公司 | 主:EA05277884 | 1 | 台 |
| 574 | 电脑主机(联想/IBM) | 9439-A59 | 联想信息产品(深圳有限公司 | 主机:L3G7744 | 1 | 台 |
| 575 | 电脑主机(IBM) | IBM8307-54C | 长城国际信息产品(深圳公司 | 主机S/N:99YB251 | 1 | 台 |
| 576 | 电脑主机(DELL) | OPTIPLEX745 | 戴尔计算机公司 | 主机:CXGF72X | 1 | 台 |
| 577 | 电脑主机(联想) | 9439-A48 | 联想信息产品有限公司 | 主机:L3A5098 | 1 | 台 |
| 578 | 电脑主机(联想) | 主机M8000t | 中国联想(北京有限公司 | 主ES03005250 | 1 | 台 |
| 579 | 电脑主机(联想) | ThinkCentreM6100T | 联想(北京)有限公司 | EA05540561 | 1 | 台 |
| 580 | 电脑主机(联想) | M6100T | 联想(北京)有限公司 | EA05814802 | 1 | 台 |
| 581 | 电脑主机(IBM) | IBM8320-24C | 长城国际信息产品(深圳公司 | 主机S/N:99C5313 | 1 | 台 |
| 582 | 电脑主机 | ThinkCentreM6100T | 联想(北京)有限公司 | 主EA05540569 | | 台 |
| 583 | 电脑主机(IBM) | 8176-KCA | 长城国际信息产品(深圳公司 | 主机S/N:99F2992 | 1 | 台 |
| 584 | 电脑主机(联想) | M8000t | 中国联想(北京)有限公司 | 主机:EA04392462 | 1 | 台 |
| 585 | 电脑主机(联想) | ThinkCentreM6100T | 联想(北京)有限公司 | EA05540567 | 1 | 台 |
| 586 | 电脑主机(联想) | 主机M8000t | 中国联想(北京有限公司 | 主ES03005244 | 1 | 台 |
| 587 | 电脑主机(联想) | 主:启天M6600 | 上海联想电子电脑公司 | 主:SA05253234 | 1 | 台 |
| 588 | 电脑主机(联想) | 9637-C14 | 联想信息产品有限公司 | 主机:L3CV474 | 1 | 台 |
| 589 | 电脑主机(联想) | 主:启天M6600 | 上海联想电子电脑公司 | 主:SA05253235 | 1 | 台 |
| 590 | 电脑主机(联想) | ThinkCentreM6100T | 联想(北京)有限公司 | EA05540555 | 1 | 台 |
| 591 | 电脑主机(联想) | 主机M8000t | 中国联想(北京有限公司 | 主ES03005249 | 1 | 台 |
| 592 | 电脑主机(联想) | 9439-A48 | 联想信息产品有限公司 | 主机:L3A5094 | 1 | 台 |
| 593 | 电脑主机(联想) | M8000t | 中国联想(北京)有限公司 | 主机:EA04392461 | 1 | 台 |
| 594 | 电脑主机(IBM) | IBM8320-24C | 长城国际信息产品(深圳公司 | 主机S/N:99C4544 | 1 | 台 |
| 595 | 电脑主机(联想) | ThinkCentreM6100T | 联想(北京)有限公司 | EA05540562 | 1 | 台 |
| 596 | 电脑主机(联想) | 联想启天M7150E5700 | 联想(北京)有限公司 | EA05396166 | 1 | 台 |
| 597 | 电脑主机(联想) | 主:M6100T | 联想(北京)有限公司 | 主EA04890942 | 1 | 台 |
| 598 | 电脑主机(联想) | THINKM8000T | 联想(北京)有限公司 | 主:EA05277883 | 1 | 台 |
| 599 | 电脑主机(联想) | ThinkCentreM6100t | 联想(北京)有限公司 | EA05540565 | 1 | 台 |
| 600 | 电脑主机(联想) | 主:M6100T | 联想(北京)有限公司 | 主EA04890945 | 1 | 台 |
| 601 | 电脑主机(联想) | 9439-A48 | 联想信息产品有限公司 | 主机:L3A5093 | 1 | 台 |
| 602 | 电脑主机 | 联想:ThinkCentreM6100t | 联想(北京)有限公司 | EA05963472 | 1 | 台 |
| 603 | 电脑主机(联想) | 主机M8000t | 中国联想(北京有限公司 | 主ES03005248 | 1 | 台 |
| 604 | 电脑主机(联想) | 9439-A48 | 联想信息产品有限公司 | 主机:L3A5095 | 1 | 台 |
| 605 | 电脑主机(联想) | 主:扬天M4600N | 联想(北京有限公司 | 主:NS09879309 | 1 | 台 |
| 606 | 电脑主机(联想) | 主:扬天M4600N | 联想(北京有限公司 | 主:NS09879486 | 1 | 台 |
| 607 | 电脑主机(联想) | M8000t | 中国联想(北京有限公司 | 主机:EA04392463 | 1 | 台 |
| 608 | 电脑主机(联想) | 联想启天M7380 | 联想(北京)有限公司 | EA06462184 | 1 | 台 |
| 609 | 电脑主机(联想) | 联想启天M7380 | 联想(北京)有限公司 | EA06462086 | 1 | 台 |
| 610 | 电脑主机(联想) | 联想启天M7380 | 联想(北京)有限公司 | EA06462185 | 1 | 台 |
| 611 | 电脑主机(联想) | ThinkCentreM6100t | 联想(北京)有限公司 | EA05963477 | 1 | 台 |
| 612 | 电脑主机(联想) | ThinkCentreM6100T | 联想(北京)有限公司 | EA05540560 | 1 | 台 |
| 613 | 电脑主机(联想) | ThinkCentreM6300T | 联想(北京)有限公司 | EA06719128 | 1 | 台 |
| 614 | 电脑主机(联想) | M8000t | 中国联想(北京)有限公司 | 主机:EA04392458 | 1 | 台 |
| 615 | 电脑主机(IBM) | IBM8319-13C | 长城国际信息产品(深圳公司 | 主机S/N:99AB378 | 1 | 台 |
| 616 | 电脑主机(IBM) | 8176-KCA | 长城国际信息产品深圳公司 | 主机S/N:99F2952 | 1 | 台 |
| 617 | 电脑主机(DELL) | 主机:OPTIPLEX745 | 戴尔,2007.10.04.马来西亚产 | 主机:81JSR1S | 1 | 台 |
| 618 | 电脑主机(联想) | M8000t | 中国联想(北京有限公司 | 主机:EA04392457 | 1 | 台 |
| 619 | 电脑主机(Dell) | 主OptiplexTM755 | 戴尔,马来西亚制造 | 主86T2Y1S | 1 | 台 |
| 620 | 电脑主机(联想) | ThinkCentreM6300T | 联想(北京有限公司 | EA06719118 | 1 | 台 |
| 621 | 电脑主机(联想) | ThinkCentreM6100T | 联想(北京)有限公司 | EA05540553 | 1 | 台 |
| 622 | 电脑主机(联想) | 主机M8000t | 中国联想(北京有限公司 | 主ES03005245 | 1 | 台 |
| 623 | 电脑主机(联想) | 主:M6100T | 联想(北京)有限公司 | 主EA04890940 | 1 | 台 |
| 624 | 电脑主机(联想) | 启天M7180 | 联想(北京)有限公司 | NA15891127 | 1 | 台 |
| 625 | 电脑主机(联想) | ThinkCentreM6300T | 联想(北京)有限公司 | EA06719121 | 1 | 台 |
| 626 | 电脑主机(联想) | 主:扬天M4800V | 中国联想(北京)有限公司 | 主机:ES02417508 | 1 | 台 |
| 627 | 电脑主机(联想) | ThinkCentreM6100T | 联想(北京有限公司 | EA05540558 | 1 | 台 |
628ThinkCentreM6100t联想(北京)有限公司EA059634741
| 629 | 电脑主机(联想)电脑主机(戴尔) | 7010DT | DELL公司 | CG68YX1 | 1 | 台台 |
| 630 | 电脑主机(联想) | 主机M8000t | 中国联想(北京有限公司 | 主ES03005242 | 1 | 台 |
| 631 | 电脑主机(IBM) | IBM8320-24C | 长城国际信息产品(深圳公司 | 主机S/N:99C5477 | 1 | 台 |
| 632 | 工控机(通讯管理机) | ACP-4001 | 北京研华兴业电子科技有限公司 | KSA0040368 | 1 | 台 |
| 633 | 工控机(通讯管理机) | ACP-4001 | 北京研华兴业电子科技有限公司 | KSA0040373 | 1 | 台 |
| 634 | 电脑主机(IBM) | IBM8320-24C | 长城国际信息产品深圳公司 | 主机S/N:99C5477 | 1 | 台 |
| 635 | 电脑主机 | T5500(DELL) | 戴尔(中国有限公司 | 2TTX33X | 1 | 台 |
| 636 | 电脑主机 | T5500(DELL) | 戴尔(中国有限公司 | 3TTX33X | 1 | 台 |
| 637 | 电脑主机(联想) | 主:M6100T | 联想(北京)有限公司 | 主EA04890939 | 1 | 台 |
| 638 | 电脑主机(联想) | ThinkCentreM6100t | 联想(北京)有限公司 | EA05963479 | 1 | 台 |
| 639 | 电脑主机(联想) | 9439-A48 | 联想信息产品有限公司 | 主机:L3A5101 | 1 | 台 |
| 640 | 电脑主机(联想) | ThinkCentreM6100t | 联想(北京)有限公司 | EA05963466 | 1 | 台 |
| 641 | 电脑主机(联想) | ThinkCentreM6100t | 联想(北京)有限公司 | EA05540568 | 1 | 台 |
| 642 | 电脑主机(联想) | 主机M8000t | 中国联想(北京有限公司 | 主ES03005243 | 1 | 台 |
| 643 | 电脑主机(联想) | ThinkCentreM6100T | 联想(北京)有限公司 | EA05540557 | 1 | 台 |
| 644 | 电脑主机(联想) | ThinkCentreM6300T | 联想(北京)有限公司 | EA06719114 | 1 | 台 |
| 645 | 电脑主机(联想) | ThinkCentreM6100t | 联想(北京)有限公司 | EA05963475 | 1 | 台 |
| 646 | 电脑主机(IBM) | 8176-KCA | 长城国际信息产品(深圳公司 | 主机S/N:99F3528 | 1 | 台 |
| 647 | 电脑主机(联想) | ThinkCentreM6400t | 联想(北京)有限公司 | EA07746203 | 1 | 台 |
| 648 | 电脑主机(联想) | ThinkCentreM6300T | 联想(北京)有限公司 | EA06719116 | 1 | 台 |
| 649 | 电脑主机(联想) | THINKM8000T | 联想(北京)有限公司 | 主:EA05277876 | 1 | 台 |
| 650 | 电脑主机(联想) | ThinkCentreM6400t | 联想(北京)有限公司 | EA07746201 | 1 | 台 |
| 651 | 电脑主机(联想) | ThinkCentreM6400t | 联想(北京)有限公司 | EA07746192 | 1 | 台 |
| 652 | 电脑主机(联想) | ThinkCentreM6100t | 联想(北京)有限公司 | EA05963469 | 1 | 台 |
| 653 | 电脑主机(联想) | 主机M8000t | 联想(北京有限公司 | 主ES03005252 | 1 | 台 |
| 654 | 电脑主机(联想) | ThinkCentreM6100t | 联想(北京有限公司 | EA05963471 | 1 | 台 |
| 655 | 电脑主机(联想) | 主:M6100T | 联想(北京)有限公司 | 主EA04890936 | 1 | 台 |
| 656 | 电脑主机(联想) | 主机M8000t | 中国联想(北京有限公司 | 主ES03005247 | 1 | 台 |
| 657 | 电脑主机 | ThinkCentreM6100t | 联想(北京有限公司 | EA05963476 | 1 | 台 |
| 658 | 电脑主机(联想) | 主:启天M4750-SY2 | 联想(北京)有限公司 | 主:EA01097992 | 1 | 台 |
| 659 | 电脑主机(联想) | 主:M6100T | 联想(北京)有限公司 | 主EA04890944 | 1 | 台 |
| 660 | 电脑主机(联想/IBM) | 9439-A59 | 联想信息产品(深圳有限公司 | 主机:L3G7746 | 1 | 台 |
| 661 | 电脑主机(IBM) | IBM8320-24C | 长城国际信息产品(深圳公司 | 主机SN:99C5251 | 1 | 台 |
| 662 | 电脑主机(联想) | ThinkCentreM6100T | 联想(北京)有限公司 | EA05540563 | 1 | 台 |
| 663 | 电脑主机(联想) | THINKM8000T | 联想(北京)有限公司 | 主:EA05277882 | 1 | 台 |
| 664 | 电脑主机(联想) | ThinkCentreM6300T | 联想(北京)有限公司 | EA06719119 | 1 | 台 |
| 665 | 电脑主机(联想) | ThinkCentreM6100t | 联想(北京)有限公司 | EA05963467 | 1 | 台 |
| 666 | 电脑主机(研华) | 研华工控机,COMPUTER510 | 研华 | CDAB443254 | 1 | 台 |
| 667 | 电脑主机(联想) | ThinkCentreM6100t | 联想(北京)有限公司 | EA05963468 | 1 | 台 |
| 668 | 工控机(研华) | IPC-610 | 研华科技(中国)有限公司 | MO:KC972157.1.1 | 1 | 台 |
| 669 | 工控机主机(研华) | IPC-610L-MB | 研华科技(中国)有限公司 | TO100312AIMB763-1 | 1 | 台 |
| 670 | 计算机(研华) | IPC-610L-MB | 杭州德诚研华 | KV960247BA | 1 | 台 |
| 671 | 电脑主机(联想) | ThinkCentreM6400T | 联想(北京)有限公司 | EA07746198 | 1 | 台 |
| 672 | 电脑主机(联想) | 启天M4350 | 联想(北京)有限公司 | EA07522387 | 1 | 台 |
| 673 | 电脑主机(联想) | 启天M4350 | 联想(北京)有限公司 | EA07522388 | 1 | 台 |
| 674 | 电脑主机(惠普) | DX6120P42.8/512/160G | HP | CNG5210HIM | 1 | 台 |
| 675 | 电脑主机(联想) | 主:扬天M4800V | 中国联想(北京)有限公司 | 主机:ES02417595 | 1 | 台 |
| 676 | 电脑主机(联想) | 主:M6100T | 联想(北京)有限公司 | 主EA04890937 | 1 | 台 |
| 677 | 电脑主机(联想) | 主:扬天M4800V | 中国联想(北京)有限公司 | 主机:ES02417583 | 1 | 台 |
| 678 | 电脑主机(联想) | M8000t | 中国联想(北京)有限公司 | 主机:EA04392464 | 1 | 台 |
| 679 | 电脑主机(联想) | 主:扬天M4800V | 中国联想(北京)有限公司 | 主机:ES02417561 | 1 | 台 |
| 680 | 电脑主机(IBM) | 8176-KCA | 长城国际信息产品(深圳公司 | 主机S/N:99F3033 | 1 | 台 |
| 681 | 电脑主机(联想) | THINKCENTREM4500T-N068 | 联想(北京)有限公司 | SA17075003 | 1 | 台 |
| 682 | 电脑主机(联想) | 主:M6100T | 联想(北京)有限公司 | 主EA04890941 | 1 | 台 |
| 683 | 电脑主机(联想) | THNKCENTREM4500T-N068 | 联想(北京)有限公司 | SA17074990 | 1 | 台 |
| 684 | 电脑主机(联想) | ThinkCentreM6400t | 联想(北京有限公司 | EA07746209 | 1 | 台 |
| 685 | 电脑主机(联想) | ThinkCentreM6100t | 联想(北京)有限公司 | EA05963478 | 1 | 台 |
| 686 | 电脑主机(联想) | 主:扬天M4800V | 中国联想(北京)有限公司 | 主机:ES02417582 | 1 | 台 |
| 687 | 电脑主机(联想) | ThinkCentreM6100t | 联想(北京有限公司 | EA05963473 | 1 | 台 |
| 688 | 电脑主机(联想) | ThinkCentreM6100T | 联想(北京)有限公司 | EA05540566 | 1 | 台 |
| 689 | 电脑主机(联想/IBM) | 9439-A59 | 联想信息产品(深圳有限公司 | 主机:L3G7743 | 1 | 台 |
| 690 | 电脑主机(联想) | 主:启天M4750-SY2 | 联想(北京)有限公司 | 主:EA01098013 | 1 | 台 |
| 691 | 电脑主机(联想) | M8000t | 中国联想(北京)有限公司 | 主机:EA04392465 | 1 | 台 |
| 692 | 电脑主机(联想) | M8000t | 联想(北京)有限公司 | 主机:EA04392459 | 1 | 台 |
| 693 | 电脑主机(联想) | THINKCENTREM4500T-N068 | 联想(北京有限公司 | SA17074981 | 1 | 台 |
| 694 | 电脑主机(联想) | ThinkCentreM6400t | 联想(北京有限公司 | EA07746205 | 1 | 台 |
| 695 | 电脑主机(联想) | ThinkCentreM6400t | 联想(北京)有限公司 | EA07746207 | 1 | 台 |
| 696 | 电脑主机(方正) | 方正圆明LT200A | 方正 | 主S/N:DAE4060279 | 1 | 台 |
| 697 | 电脑主机(联想) | ThinkCentreM6400t | 联想(北京有限公司 | EA07746194 | 1 | 台 |
| 698 | 电脑主机(联想) | ThinkCentreM6300T | 联想(北京)有限公司 | EA06719123 | 1 | 台 |
| 699 | 电脑主机(联想) | 主机M8000t | 中国联想(北京)有限公司 | 主ES03005240 | 1 | 台 |
| 700 | 电脑主机(联想) | ThinkCentreM6400t | 联想(北京有限公司 | EA07746188 | 1 | 台 |
| 701 | 电脑主机(联想) | 主机M8000t | 中国联想(北京)有限公司 | 主ES03005239 | 1 | 台 |
| 702 | 电脑主机(联想) | THINKCENTREM4500T-N068 | 联想(北京)有限公司 | SA17074989 | 1 | 台 |
| 703 | 电脑主机(联想) | THINKCENTREM4500T-N068 | 联想(北京有限公司 | SA17074988 | 1 | 台 |
| 704 | 电脑主机(联想/IBM) | 9439-A59 | 联想信息产品(深圳有限公司 | 主机:L3G7742 | 1 | 台 |
| 705 | 电脑主机(联想) | ThinkCentreM6300T | 联想(北京有限公司 | EA06719130 | 1 | 台 |
| 706 | 电脑主机(联想) | ThinkCentreM6400t | 联想(北京)有限公司 | EA07746199 | 1 | 台 |
| 707 | 电脑主机(联想) | ThinkCentreM6400t | 联想(北京)有限公司 | EA07746210 | 1 | 台 |
| 708 | 电脑主机(联想) | ThinkCentreM6400t | 联想(北京有限公司 | EA07746189 | 1 | 台 |
| 709 | 电脑主机(联想) | THINKCENTREM4500T | 联想(北京)有限公司 | 主机:SA18334730 | 1 | 台 |
| 710 | 电脑主机(联想) | THINKCENTREM4500T | 联想(北京)有限公司联想(北京)有限公司 | 主机:SA18334747 | 1 | 台 |
| 711 | 电脑主机(联想) | THINKCENTREM4500T-N068 | SA17074982 | 1 | 台 |
| 712 | 电脑主机(联想) | 主:M6100T | 联想北京)有限公司 | 主EA04890943 | 1 | 台 |
| 713 | 电脑主机(联想) | 启天M4350-N0000 | 联想(北京)有限公司 | EA08510797 | 1 | 台 |
| 714 | 电脑主机(联想) | ThinkCentreM6400t | 联想(北京)有限公司 | EA07746200 | 1 | 台 |
| 715 | 电脑主机(联想) | THINKCENTREM4500T | 联想(北京)有限公司 | 主机:SA18334746 | 1 | 台 |
| 716 | 电脑主机(联想) | ThinkCentreM6300T | 联想(北京)有限公司 | EA06719126 | 1 | 台 |
| 717 | 电脑主机(联想) | ThinkCentreM6400t | 联想(北京有限公司 | EA07746197 | 1 | 台 |
| 718 | 电脑主机(联想) | ThinkCentreM6400t | 联想(北京)有限公司 | EA07746196 | 1 | 台 |
| 719 | 电脑主机(联想) | ThinkCentreM6400t | 联想(北京)有限公司 | EA07746212 | 1 | 台 |
| 720 | 电脑主机(联想) | ThinkCentreM6300T | 联想(北京)有限公司 | EA06719131 | 1 | 台 |
| 721 | 电脑主机(联想) | ThinkCentreM6300T | 联想(北京有限公司 | EA06719127 | 1 | 台 |
| 722 | 电脑主机(联想) | ThinkCentreM6400s | 联想(北京有限公司 | EA07746148 | 1 | 台 |
| 723 | 电脑主机(联想) | ThinkCentreM6400t | 联想(北京)有限公司 | EA07746204 | 1 | 台 |
| 724 | 电脑主机(联想) | THINKCENTREM4500T | 联想(北京有限公司 | SA18334751 | 1 | 台 |
| 725 | 电脑主机(联想) | THINKCENTREM4500T | 联想(北京)有限公司 | 主机:SA18334734 | 1 | 台 |
| 726 | 电脑主机(联想) | THINKCENTREM4500T- | 联想(北京有限公司 | SA17074997 | 1 | 台 |
| 727 | 仓库管理系统(戴尔服务器) | 服务器PRECISIONT1500 | 服务器:戴尔公司 | 服务器JLYKZ2X | 1 | 台 |
| 728 | 电脑主机(联想) | ThinkCentreM6400t | 联想(北京)有限公司 | EA07746190 | 1 | 台 |
| 729 | 电脑主机(联想) | THINKCENTREM4500T | 联想(北京)有限公司 | 主机:SA18334757 | 1 | 台 |
| 730 | 电脑主机(戴尔) | OPTIPLEX780.DFZF2X | 戴尔(中国)有限公司 | DFZFZ2X | 1 | 台 |
| 731 | 电脑主机(联想) | ThinkCentreM6100T | 联想(北京有限公司 | EA05540559 | 1 | 台 |
| 732 | 电脑主机(联想) | THINKCENTREM4500T | 联想(北京)有限公司 | 主机:SA18334756 | 1 | 台 |
| 733 | 电脑主机(联想) | ThinkCentreM6100T | 联想(北京)有限公司 | EA05540554 | 1 | 台 |
| 734 | 电脑主机(联想) | ThinkCentreM6400s | 联想(北京有限公司 | EA07746150 | 1 | 台 |
| 735 | 电脑主机(联想) | ThinkCentreM6300T | 联想(北京有限公司 | EA06719125 | 1 | 台 |
| 736 | 电脑主机(联想) | ThinkCentreM6400t | 联想(北京)有限公司 | EA07746202 | 1 | 台 |
| 737 | 电脑主机(联想) | 主ThinkCentreM4500t-N000 | 联想(北京有限公司 | 主:SA19090409 | 1 | 台 |
| 738 | 电脑主机(联想) | THINKCENTREM4500T | 联想(北京)有限公司 | 主机:SA18334738 | 1 | 台 |
| 739 | 电脑主机(联想) | 主ThinkCentreM4500t-N000 | 联想(北京)有限公司 | 主机:SA19090404 | 1 | 台 |
| 740 | 电脑主机(联想) | 主ThinkCentreM4500t-N000 | 联想(北京)有限公司 | 主机SA19090416 | 1 | 台 |
| 741 | 电脑主机(联想) | THINKCENTREM4500T | 联想(北京)有限公司 | 主机:SA18334741 | 1 | 台 |
| 742 | 电脑主机(联想) | 主ThinkCentreM4500t-N000 | 联想(北京)有限公司 | 主机SA19090425 | 1 | 台 |
| 743 | 工作站主机(戴尔) | DELLT3610 | 戴尔 | 715TZ22 | 1 | 套 |
| 744 | 电脑主机(戴尔,含软件) | 主OPTIPLEX380 | 戴尔(中国有限公司 | 94D3Y2X | 1 | 台 |
| 745 | 电脑主机(联想) | THINKCENTREM4500T-N068 | 联想(北京)有限公司 | SA17075001 | 1 | 台 |
| 746 | 电脑主机(戴尔,含软件) | 主OPTPLEX380 | 戴尔(中国)有限公司 | 94D3Y2X | 1 | 台 |
| 747 | 工控机 | RACK-360 | | | 1 | 台 |
| 748 | 电脑主机 | 6563-43C | IBM | 99YD326 | 1 | 台 |
| 749 | 电脑主机 | 组装 | | | 1 | 台 |
| 750 | 电脑主机 | 组装 | | | 1 | 台 |
| 751 | 电脑主机 | 2197-0DC | IBM | 99B0703 | 1 | 台 |
| 752 | 电脑主机(DELL) | DELLT3500 | 戴尔中国厦门 | 638L43X | 1 | 台 |
| 753 | 电脑(IBM多媒体) | PC300GL,6282-94C | 长城国际信息产品(深圳公司 | 主机99PYMVPP200 | 1 | 台 |
| 754 | 电脑(富士笔记本) | LBC6631-AB037COAO | 富士 | RIY00177 | 1 | 台 |
| 755 | 电脑(IBM笔记本) | 2628-4HC | 长城国际信息产品(深圳公司 | 主机99-ANV44 | 1 | 台 |
| 756 | 电脑(IBM笔记本) | 2658-CC2 | 长城国际信息产品(深圳公司 | S/N99-BX759 | 1 | 套 |
| 757 | 电脑(IBM笔记本) | IBM2658-CC2 | 长城国际信息产品(深圳公司 | S/N99-BX710 | 1 | 套 |
| 758 | 电脑(IBM笔记本) | IBM2658-CC2 | 长城国际信息产品(深圳公司 | SN99-BX819 | 1 | 套 |
| 759 | 电脑(IBM笔记本) | IBM2366-86C | 长城国际信息产品深圳公司 | S/N99-HHVYO | 1 | 台 |
| 760 | 电脑(IBM笔记本) | IBM2658-CC2 | 长城国际信息产品(深圳公司 | SN99-BY918 | 1 | 台 |
| 761 | 电脑(索尼笔记本) | PCG-TR2P | 索尼电子无锡有限公司 | 7117339 | 1 | 台 |
| 762 | 电脑(笔记本IBM-X31) | IBM2672-5KC | 长城国际信息产品深圳公司 | 992TOTC | 1 | 套 |
| 763 | 电脑(IBM笔记本) | 2668-CC1 | IBM,中国制造 | L3-VEMDD,出厂日期2005.10. | 1 | 台 |
| 764 | 电脑(IBM笔记本) | IBM2366-87C,T-30 | 长城国际信息产品(深圳公司 | S/N99-KKHCO | 1 | 台 |
| 765 | 电脑(SONY笔记本) | VPCX119LC | 日本索尼 | 275037909000938 | 1 | 套 |
| 766 | 电脑(IBM笔记本-联想) | IBMX61S(7666-KG2) | 中国联想(北京)有限公司 | L3E4175 | 1 | 台 |
| 767 | 电脑(联想笔记本) | IBMT4002765-63C) | 中国联想 | R8-CVEEY | 1 | 套 |
| 768 | 电脑(联想笔记本) | Z360 | 联想(北京)有限公司 | PN:1LL7A000003,SN:QB01407961 | 1 | 台 |
| 769 | 电脑(联想笔记本) | IBMR4002784-A48) | 中国联想 | R8-WECB2 | 1 | 套 |
| 770 | 电脑(联想笔记本) | | 联想(北京有限公司 | R9-KT82111/12 | 1 | 台 |
| 771 | 电脑(联想笔记本) | ThinKPadX220i.12.5" | 联想(北京有限公司 | R9-LF08Z12/01 | 1 | 台 |
| 772 | 电脑(SONY笔记本) | PCG-21111T | 日本索尼 | 275037909000937 | 1 | 套 |
| 773 | 电脑(联想笔记本) | ThinkPadT410s | 联想(北京)有限公司 | R9-AKD7V | 1 | 台 |
| 774 | 电脑(联想笔记本) | ThinkPadT410s | 联想(北京)有限公司 | R9-AKD7F | 1 | 台 |
| 775 | 电脑(联想笔记本) | ThinkPadX420 | 联想(北京)有限公司 | P1-21RDG | 1 | 台 |
| 776 | 电脑(联想笔记本) | 7650DVC联想ThinkPad | 联想信息产品有限公司 | L3-Y8603 | 1 | 台 |
| 777 | 电脑(联想笔记本/工作站) | 2743-CN1 | 联想(北京)有限公司 | YW70 | 1 | 台 |
| 778 | iPad(苹果/便携式电脑) | A1460(16GB) | 苹果电脑公司 | 990002379854100 | 1 | 台 |
| 779 | 电脑(笔记本) | LenovoIdeaPadZ460 | 联想(北京)有限公司 | CB04729270 | 1 | 台 |
| 780 | 电脑(联想笔记本) | Thinkpadx220 | 联想(北京)有限公司 | 4286A57 | 1 | 台 |
| 781 | 电脑(联想笔记本) | ThinkPadX2204286-A23 | 联想(北京)有限公司 | 4286A23 | 1 | 台 |
| 782 | 电脑(SONY笔记本) | PCG-21111T | 日本索尼 | 2750379209000940 | 1 | 套 |
| 783 | 电脑(联想笔记本) | lenovoR400 | 中国联想 | R8-WDMT1 | 1 | 台 |
| 784 | 电脑(戴尔笔记本) | DELL6526B | 戴尔公司 | 9LHXVW1 | 1 | 台 |
| 785 | 电脑(联想笔记本) | ThinkPadX2204286-A23 | 联想(北京有限公司 | R9-G9HYT | 1 | 台 |
| 786 | 电脑(联想笔记本) | IBMR4002784-A48) | 中国联想 | R8-WDZB4 | 1 | 套 |
| 787 | 电脑(联想笔记本) | THINKPADX240(20AL-S00E00) | 联想(北京)有限公司 | PB02EQY1 | 1 | 台 |
| 788 | 电脑(联想笔记本) | ThinkPadT410s | 联想(北京有限公司 | R9-AKD7H | 1 | 台 |
ThinkPadS3-S44020AY-
789笔记本电脑(联想)联想(北京)有限公司MP06MHK91台
AOSSOD
| 790 | 笔记本电脑(联想) | ThinkPadX250 | 联想(北京)有限公司 | PC-OC4PRL | 1 | 台 |
| 791 | 电脑(联想笔记本) | T430S | 联想(北京)有限公司 | R9-VY20X | 1 | 台 |
| 792 | 电脑(联想笔记本) | ThinkPadT440 | 联想(北京有限公司 | PF-00A0AG | 1 | 台 |
| 793 | iPad(苹果/便携式电脑) | A1460(16GB) | 苹果电脑公司 | 990002370591446 | 1 | 台 |
| 794 | 平板电脑(荣耀) | JDN-ALO0香槟金 | 华为技术有限公司 | | 1 | 台 |
| 795 | 平板电脑(荣耀) | JDN-ALO0香槟金 | 华为技术有限公司 | | 1 | 台 |
| 796 | 电脑(三星平板) | SM-T825C | 三星中国 | R22J4000ZDA | 1 | 台 |
| 797 | 电脑(IBM台式一体机) | IBM2283-54C | 长城国际信息产品(深圳公司 | 99A1684 | 1 | 套 |
| 798 | 电脑(IBM台式一体机) | NETVISTA2283-54C | 长城国际信息产品(深圳公司 | 99A1420 | 1 | 套 |
| 799 | 电脑(一体机) | 嵌入式触摸\17寸L1701 | 深圳东汇源实业公司 | 170120131010028 | 1 | 台 |
| 800 | 服务器(IBMNetfinity5000) | IBM8659-41Y | 长城国际信息产品(深圳公司 | 99V0063 | 1 | 台 |
| 801 | 服务器IBMNetfinity5000) | IBM8659-41Y | 长城国际信息产品(深圳公司 | 99W1089 | 1 | 台 |
| 802 | 服务器(IBMNetiinity5000) | IBM8659-71Y | 长城国际信息产品(深圳公司 | 主机9VT261 | 1 | 台 |
| 803 | 主服务器 | hpNetServerLH6000 | 上海惠普有限公司 | 主:CH03250548 | 1 | 台 |
| 804 | 服务器--主机 | hpNetServerLH6000 | 上海惠普有限公司 | 主:CN12970371 | 1 | 台 |
| 805 | 服务器(eserver) | IBMX4408687-1RX | 长城国际信息产品(深圳公司 | SN99A0708 | 1 | 台 |
| 806 | 服务器(IBMxSeries365) | 8862-5RX | 长城国际信息产品(深圳公司 | 99Y3246 | 1 | 套 |
| 807 | 服务器(IBMxSeries445) | 8870-22X | 长城国际信息产品(深圳公司 | 99ZT534 | 1 | 套 |
| 808 | 服务器 | DellT7500 | 戴尔(中国有限公司 | 4LKVS2X | 1 | 台 |
| 809 | 服务器 | T5500DELL | 戴尔(中国)有限公司 | 39RHV2X | 1 | 台 |
| 810 | 服务器(MA操作站) | T5500(DELL) | 戴尔(中国)有限公司 | G8ZHV2X | 1 | 台 |
| 811 | 服务器(MA操作站) | T5500(DELL) | 戴尔(中国)有限公司 | F8ZHV2X | 1 | 台 |
| 812 | 服务器(大屏操作站) | T5500(DELL) | 戴尔(中国有限公司 | D8ZHV2X | 1 | 台 |
| 813 | 服务器(大屏操作站) | T5500(DELL) | 戴尔(中国有限公司 | J8ZHV2X | 1 | 台 |
| 814 | 服务器(大屏操作站) | T5500(DELL) | 戴尔(中国有限公司 | H8ZHV2X | 1 | 台 |
| 815 | 服务器(IBM) | X3400-M2,7947-I21 | IBM | 99B4340 | 1 | 套 |
| 816 | 服务器(MA域控/备用) | DellPowerEdgeR710 | 戴尔(中国)有限公司 | 297K63X | 1 | 台 |
| 817 | 服务器(MA域控) | DellT5500 | 戴尔(中国)有限公司 | C8RMV2X | 1 | 台 |
| 818 | 服务器(业务监视) | DellT5500 | 戴尔(中国有限公司 | D8RMV2X | 1 | 台 |
| 819 | 服务器 | DellPowerEdgeR710 | 戴尔(中国)有限公司 | F6JJU2X | 1 | 台 |
| 820 | 服务器(MA(X)) | DellPowerEdgeR710 | 戴尔(中国有限公司 | 2RKQ23X | 1 | 台 |
| 821 | 服务器(自动化液位) | CM-MULTI | 摩莎MOXA) | 定制 | 1 | 台 |
| 822 | 服务器(设备管理/EMS) | DellPowerEdgeR710 | 戴尔(中国)有限公司 | C882T2X | 1 | 台 |
| 823 | 服务器(自动化液位) | CM-MULTI | 摩莎MOXA) | 定制 | 1 | 台 |
| 824 | 服务器(工程师站) | DellT5500 | 戴尔(中国有限公司 | 29RHV2X | 1 | 台 |
| 825 | 服务器(工程师站/stnl-6) | DellT5500 | 戴尔(中国有限公司 | 49RHV2X | 1 | 台 |
| 826 | 服务器(属视频监控系统附件) | DELLR410 | 戴尔(中国有限公司 | | 1 | 台 |
| 827 | 服务器主机(DELL) | T3600E5-1603 | DELL公司 | 643K5Z1 | 1 | 台 |
| 828 | 服务器(业务监视) | T5500DELL | 戴尔(中国有限公司 | F8RMV2X | 1 | 台 |
| 830 | 服务器(戴尔) | dellR430 | 浙江华源电气有限公司配套 | MAC14-18-77-5A-CA-A8 | 1 | 台 |
| 831 | 服务器 | T5500 | 戴尔(中国)有限公司 | 69RHV2X | 1 | 台 |
| 832 | 服务器(DELL) | PowerEdgeR720 | 戴尔(中国)有限公司 | 6TFPG32 | 1 | 套 |
| 833 | 服务器 | R710(E5506、E02S) | 戴尔 | 43BSY2X | 1 | 台 |
| 834 | 服务器(IBM) | 8840-C5B | 长城国际信息产品深圳公司 | 内:99ATRAY | 1 | 套 |
| 835 | 服务器(IBM) | IBMx3650M3 | IBM系统集成(深圳有限公司 | 7945031-06AGCK6 | 1 | 台 |
| 836 | 服务器 | DellR820 | 戴尔公司 | 4JIRZ42 | 1 | 台 |
| 837 | 服务器 | DellR820 | 戴尔公司 | 7HIRZ42 | 1 | 台 |
| 838 | 服务器 | DellR820 | 戴尔公司 | GP1SZ42 | 1 | 台 |
| 839 | 服务器 | DellR820 | 戴尔公司 | FQISZ42 | 1 | 台 |
| 840 | 电脑服务器(IBM) | IBM7979-B4C | 联想信息产品有限公司 | 99x4049 | 1 | 只 |
| 841 | 服务器(IBM) | 8840-C5B | 长城国际信息产品(深圳公司 | 内:99ATRCH | 1 | 套 |
| 842 | 服务器 | DELLPowerEdgeR720 | 戴尔(中国)有限公司 | 7SZSS42 | 1 | 台 |
| 843 | 视频服务器 | 海康DS-6904UD/QH | 杭州海康威视数字技术股份有限公司 | 785476584 | 1 | 台 |
| 844 | 服务器(液位发布) | R720E5-2620/8G/300G*2 | 戴尔公司 | B3Y09X1 | 1 | 台 |
| 845 | 打印服务器(友迅) | D-LinkDP-301U | 友讯网络 | BA2513B000930 | 1 | 台 |
| 846 | 打印机EPSON | PHOT0750 | 爱普生 | *BK40031698* | 1 | 台 |
| 847 | 打印机HP695cci | C4562E | 惠普 | SG8601D02R | 1 | 台 |
| 848 | 打印机EPSONCOLOR460 | P950A | 爱普生 | BWBY003066* | 1 | 台 |
| 849 | 打印机(EPSON) | EPSONCOLOR440 | 爱普生技术(深圳)有限公司 | BC8E166509 | 1 | 台 |
| 850 | 打印机(hp5000,激光) | C4110A | 惠普,新加坡 | SGT3016435 | 1 | 台 |
| 851 | 打印机(EPSON) | LQ-1600KI | 福建爱普生实达电子有限公司 | D48H173120 | 1 | 台 |
| 852 | 打印机(夏普) | hp-4600dn.C9661A | 惠普 | SGBHF08608 | 1 | 台 |
| 853 | 打印机(惠普) | BIJ1000 | HP | CN547210VK | 1 | 台 |
| 854 | 打印机(惠普) | HPColorLaserjet3550 | 惠普,中国制造 | CNCR519963 | 1 | 台 |
| 855 | 打印机(惠普) | hp-2200dn.C7063A | 惠普新加坡 | SGKGB88337 | 1 | 台 |
| 856 | 打印机(四通,票据) | OKI5530SC | 广东深圳四通公司 | AB9804126067 | 1 | 台 |
| 857 | 打印机(佳能) | BJC-5500.K10170E | 日本佳能 | 03861 | 1 | 台 |
| 858 | 打印机 | 彩色,EPSONC-110,号C68745002L817Y02083 | 爱普生, | | 1 | 只 |
| 859 | 打印机 | DJ5438 | HP | TH58B11156 | 1 | 只 |
| 860 | 打印机(佳能) | CanonIP90 | 佳能 | XAFR-12439 | 1 | 台 |
| 861 | 打印机(三星) | ML-1430 | 三星 | | 1 | 台 |
| 862 | 打印机(三星) | ML-1430 | 山东三星 | BABX510808J | 1 | 台 |
| 863 | 打印机(三星) | ML-1430 | 山东三星 | BABX511082A | 1 | 台 |
| 864 | 打印机 | HPLaserJet1000 | 惠普公司 | | 1 | 台 |
| 865 | 打印机(HP) | HPP2015DN | 惠普 | CNCJM41702 | 1 | 台 |
| 866 | 打印机(惠普) | LASERJET2600N | 惠普.中国 | CNGJ5BB04L | 1 | 套 |
| 867 | 打印机 | canons6300 | 佳能公司(日本) | | 1 | 台 |
| 868 | 打印机(惠普) | DJ5438 | 惠普 | TH58B11166 | 1 | 台 |
| 869 | 打印机(惠普) | hp1010 | 惠普 | Q2469A-CNFG465276 | 1 | 台 |
| 870 | 打印机(彩色喷墨) | 7760,Q3015A | | MY52H2M2BZ | 1 | 台 |
| 871 | 打印机(爱普生) | STYLUSC65/B241A | 爱普生 | FXTH120672 | 1 | 台 |
| 872 | 打印机(爱普生/彩色) | EPSONSTYLUS-C67 | 爱普生 | G2WY000722 | 1 | 台 |
| 873 | 打印机(hp) | hpdeskjet3558 | hp中国 | S/N:CN440151ZC | 1 | 台 |
| 874 | 打印机(激光) | HP1160(Q5933A) | 惠普科技(上海)有限公司 | CNM2F35375 | 1 | 台 |
| 875 | 打印机 | STARNX-600 | 斯大紧密(大连)有限公司 | 064040532998 | 1 | 台 |
| 876 | 打印机(惠普) | hp1010 | 惠普 | Q2469A-CNFG355556 | 1 | 台 |
| 877 | 打印机 | KONICAMINOLTA4750DN | 柯尼卡美能达中国公司 | AOVD082000081 | 1 | 台 |
| 878 | 打印机(京瓷彩色激光) | FS-C5100DN | | XCJ9X00183 | 1 | 台 |
| 879 | 打印机 | hp8500(6188) | 夏普马来西亚 | MY017111VP | 1 | 台 |
| 880 | 打印机(激光) | HP2605dn | 中国惠普有限公司 | CNHJ7C9033 | 1 | 台 |
| 881 | 打印机(HP5100) | hpLaserJet5100 | HP | 60217807 | 1 | 台 |
| 882 | 打印机 | STRA-NX-500 | 中国实达信息产品 | 144051130162 | 1 | 台 |
| 883 | 打印机(惠普) | DJ5438 | 惠普 | TH58B1116C | 1 | 台 |
| 884 | 打印机(惠普) | DJ5438 | 惠普 | TH58B1116D | 1 | 台 |
| 885 | 打印机 | HPC4110A | HP | SGT1075381 | 1 | 台 |
| 886 | 打印机 | HP3600 | HP | Q5987A | 1 | 台 |
| 887 | 打印机(三星) | ML-1740 | 三星 | | 1 | 台 |
| 888 | 打印机(佳能) | P4200K10251) | 佳能泰国 | TASY04C | 1 | 台 |
| 889 | 打印机(属激光靠泊系统) | HPcolorlaserjetcp1515n | 夏普 | CNAJ83Y0BQ | 1 | 台 |
| 890 | 打印机(HP) | HPcp2025.CB495A | 惠普中国有限公司 | CNCSF00913 | 1 | 台 |
| 891 | 打印机(黑白激光) | HPLJ5200L | 上海惠普有限公司 | CNHXJ59288 | 1 | 台 |
| 892 | 打印机(爱普生) | EPSON.ME30B391D | 爱普生 | KKMP086209 | 1 | 台 |
| 893 | 打印机 | HP2600 | 惠普 | 5073101271 | 1 | 台 |
| 894 | 打印刻字机 | 皮卡CS-1200 | 深圳市海沃佳科技发展有限公司 | PCUT1ICT12BL2588 | 1 | 台 |
| 895 | 打印机 | HPLASERJETP1505N | 惠普中国有限公司 | VNF3G19635 | 1 | 台 |
| 896 | 打印机(惠普) | DJ5438 | 惠普 | TH58B11155 | 1 | 台 |
| 897 | 打印机(HP彩色激光) | LaserJetCP1025 | 中国惠普有限公司 | CNCGC10385 | 1 | 台 |
| 898 | 打印机(惠普) | hp-1505n | 惠普 | CNC2312067 | 1 | 台 |
| 899 | 打印机(彩色激光) | HPLJ5550 | 上海惠普有限公司 | Q3713A | 1 | 台 |
| 900 | 打印机(HP彩色激光) | LaserJetCP1025 | 中国惠普有限公司 | CNCGC10328 | 1 | 台 |
| 901 | 打印机(惠普) | HPM451DN | 惠普中国 | CNFG712883 | 1 | 台 |
| 902 | 打印机(条码) | B-EV4T-GS14-QM-R | 东芝泰格有限公司 | 2309Y000949 | 1 | 台 |
| 903 | EPOSN打印机 | LQ-2680K | 福建爱普生有限公司 | LWHH025646 | 1 | 台 |
| 904 | 打印机 | HP3015 | 中国惠普有限公司 | VNC3201302 | 1 | 台 |
| 905 | 打印机(惠普) | HPLASERJETP1007 | 中国惠普有限公司 | VNFN711629 | 1 | 台 |
| 906 | 打印机(惠普) | HPM750XH | 惠普中国 | CNDXJIMDDT | 1 | 台 |
| 907 | 传真机 | 松下KX-F50B | 日本PANASONIC | T10173ZA | 1 | 台 |
| 908 | 传真机(SANYO) | SFX-31 | 日本 | 65806448 | 1 | 台 |
| 909 | 传真机(佳能) | FAX-L200 | 日本佳能,中国制造 | CEU15169 | 1 | 台 |
| 910 | 传真机(佳能) | FAX-L200 | 日本佳能(中国制造) | CEU12906 | 1 | 台 |
| 911 | 传真机(三星) | SF-5100P | 三星电子株式会社.韩国 | BIFN900110(PTL) | 1 | 台 |
| 912 | 传真机(松下)中威资产 | KX-FP706CN | 松下 | 8FABC148744 | 1 | 台 |
| 913 | 传真机(佳能) | JX-200 | 佳能中国 | AARY03780 | 1 | 台 |
| 914 | 传真机(佳能) | CanonL240h12251 | 佳能 | CZV41150 | 1 | 台 |
| 915 | 传真机(佳能) | FAX-L200 | 日本佳能(中国制造) | CEU02828 | 1 | 台 |
| 916 | 传真机(Canon) | FAX-L100F147403) | 佳能公司,韩国制造 | KXY31675 | 1 | 台 |
| 917 | 传真机(松下) | KX-FP706CN | 松下 | OCCBE490294 | 1 | 台 |
| 918 | 传真机:CANONL120 | FAX-L120 | Canon公司韩国 | SEU02686 | 1 | 台 |
| 919 | 传真打印一体机(佳能) | MF4870dn | 佳能(中国有限公司 | NWT04431 | 1 | 台 |
| 920 | 传真机 | 佳能L220 | 佳能 | 28485 | 1 | 台 |
| 921 | 传真机(Canon) | CanonFAX-L-120 | 佳能(中国)有限公司 | SEU02692 | 1 | 台 |
| 922 | 传真机(佳能) | FAX-L100 | 佳能韩国公司 | KXY30864 | 1 | 台 |
| 923 | 传真打印一体机(佳能) | MF5930dn | 佳能(中国有限公司 | KWK02453 | 1 | 台 |
| 924 | 传真机(松下) | KX-FP7009CN | 松下(原产地:马来西亚) | 9AAWP041546 | 1 | 台 |
| 925 | 复印机(美能达) | EP1054 | 武汉美能达办公机器有限公司 | 51353413 | 1 | 台 |
| 926 | 复印机(理光) | FT5632 | 理光深圳工业发展有限公司 | 9900743 | 1 | 台 |
| 927 | 复印机(松下) | FP-7830 | 日本.东京松下 | HBG26100021 | 1 | 套 |
| 928 | 复印机(松下/Panasonic) | DP-2310-PK | 松下通讯系统设备株式会社 | CEP3CK00130 | 1 | 台 |
| 929 | 复印机(松下/Panasonic) | DP-1820P-PK | 松下通讯系统设备株式会社 | JDP3WL00223 | 1 | 台 |
| 930 | 复印机(松下/Panasonic) | DP-1820P-PK | 松下通讯系统设备株式会社 | JDP3WL00223 | 1 | 台 |
| 931 | 复印机(美能达) | BZX162-DELINK | 柯尼卡,美能达办公系统(武汉) | 51304916 | 1 | 台 |
| 932 | 复印机:美能达 | 132*162D-Link | 柯尼卡美能达办公系统(武汉) | 51304150 | 1 | 台 |
| 933 | 复印机(美能达) | bizhub210 | 柯尼卡美能达办公系统(武汉) | 51306116 | 1 | 套 |
| 934 | 复印机 | 东芝256 | 东芝奉格星系系统深圳有限公司 | C2CC24313 | 1 | 台 |
| 935 | 复印机 | bizhub163/211/220 | 柯尼卡美能达 | A08E08105105 | 1 | 台 |
| 936 | 复印机(东芝) | 东芝306 | 东芝泰格信息系统(深圳有限公司 | C2B219798 | 1 | 台 |
| 937 | 复印机(美能达) | 美能达210 | 柯尼卡美能达办公系统(武汉) | 51306089 | 1 | 套 |
| 938 | 电视机(金星) | C542 | 上海广播电视(集团公司 | | 1 | 台 |
| 939 | 电视机(送下) | TC-D25 | 送下电器公司 | UC1254468 | 1 | 台 |
| 940 | 电视机(TCL纯平彩电) | 21寸,2188EB | TCL集团有限公司 | 6043593 | 1 | 台 |
| 941 | 电视机(TCL纯平彩电) | 21寸,2188EB | TCL集团有限公司 | 6046083 | 1 | 台 |
| 942 | 电视机 | KONKA.P25SE072 | | | 1 | 台 |
| 943 | 电视机(松下) | TC-D25 | 日本 | TBM170388 | 1 | 台 |
| 944 | 电视机(夏普) | 25TF1 | 南京夏普电子有限公司 | 912925860 | 1 | 台 |
| 945 | 电视机(松下) | TC-33GF85R | 日本 | | 1 | 台 |
| 946 | 电视机(TCL纯平彩电) | 21寸,2188EB | TCL集团有限公司 | 6046083 | 1 | 台 |
| 947 | 电视机(TCL纯平彩电) | 21寸,2188EB | TCL集团有限公司 | 6043593 | 1 | 台 |
| 948 | 电视机(厦新液晶) | LC-22ST1 | 厦新电子股份有限公司 | | 1 | 台 |
| 949 | 电视机(厦新液晶) | LC-22ST1 | 厦新电子股份有限公司 | | 1 | 台 |
| 950 | 电视机(厦新液晶) | LC-22ST1 | 厦新电子股份有限公司 | | 1 | 台 |
| 951 | 电视机(厦新液晶) | LC-22ST1 | 厦新电子股份有限公司 | | 1 | 台 |
| 952 | 电视机(厦新液晶) | LC-22ST1 | 厦新电子股份有限公司 | | 1 | 台 |
| 953 | 电视机(厦新液晶) | LC-22ST1 | 厦新电子股份有限公司 | | 1 | 台 |
| 954 | 电视机(厦新液晶) | LC-22ST1 | 厦新电子股份有限公司 | | 1 | 台 |
| 955 | 电视机(厦新液晶) | LC-22ST1 | 厦新电子股份有限公司 | | 1 | 台 |
| 956 | 电视机(西湖彩色) | 西湖T2536型 | 西湖电子集团数源科技股份 | 485E0201250100 | 1 | 台 |
| 957 | 电视机(先锋等离子) | 435HD143MX-2 | 日本先锋,中国制造 | EHPG004482CN | 1 | 台 |
| 958 | 电视机(先锋等离子) | 435HD143MX-3 | 日本先锋,中国制造 | EHPG004384CN | 1 | 台 |
| 959 | 电视机(松下等离子) | TH-42PHD7CY | 松下电器(中国)有限公司 | | 1 | 台 |
| 960 | 电视机(三洋) | CK29F78G | 广东东莞华强三洋电子公司 | 65108699 | 1 | 台 |
| 961 | 液晶监视器 | 创维26寸,M26LA | 深圳市创维群欣安防科技公司 | | 1 | 台 |
| 962 | 液晶监视器 | 创维26寸,M26LA | 深圳市创维群欣安防科技公司 | 1009SD26A201018 | 1 | 台 |
| 963 | 液晶监视器 | 创维26寸,M26LA | 深圳市创维群欣安防科技公司 | | 1 | 台 |
| 964 | 液晶监视器 | 创维26寸,M26LA | 深圳市创维群欣安防科技公司 | | 1 | 台 |
| 965 | 电视机(松下) | TC-2188M | 松下 | | 1 | 台 |
| 966 | 电视机(长虹) | D2526A | 四川长虹电器股份有限公司 | 1101142908 | 1 | 台 |
| 967 | 电视机(长虹) | 长虹50寸 | 四川长虹电器股份有限公司 | D9B500132917413102 | 1 | 台 |
| 968 | 电视机(液晶彩电) | 42K73 | TCL集团股份有限公司 | | 1 | 台 |
| 969 | 电视机(液晶彩电) | 42K73 | TCL集团股份有限公司 | | 1 | 台 |
| 970 | 电视机(TCL液晶) | 42寸 | | | 1 | 台 |
| 971 | 电视机(TCL液晶) | 42寸 | | | 1 | 台 |
| 972 | 电视机(TCL液晶) | 42寸 | | | 1 | 台 |
| 973 | 电视机(海信彩电) | TIM37E29X | 海信,Hisense | 1TD3777CNOBO | 1 | 台 |
| 974 | 电视机 | 夏普LCD-60SU575A | 夏普科技(深圳)有限公司 | 8032881334112 | 1 | 台 |
| 975 | 液晶电视机 | LCD-60SU575A | 夏普公司 | 8032891340827 | 1 | 台 |
| 976 | 电视机(夏普) | 32LX330A | 南京夏普电子有限公司 | 202981184 | 1 | 台 |
| 977 | 电视机 | LCD-45T45A | 南京夏普电子有限公司 | 4050705411269 | 1 | 台 |
| 978 | 电视机(松下等离子) | TH-42PHD7CY | 松下电器(中国)有限公司 | | 1 | 台 |
| 979 | 对讲机 | GP300 | 摩托罗拉(中国)电子有限公司 | 174HWU4444 | 1 | 台 |
| 980 | 对讲机 | | | | 1 | 台 |
| 981 | 对讲机(MOTOROLA) | GP328AZH25RDC9AA3 | 摩托罗拉(中国电子有限公司 | 672HCQ2974 | 1 | 台 |
| 982 | 对讲机(MOTOROLA) | GP328AZH25RDC9AA3摩托罗拉(中国)电子有限公司 | | 672HCQ2975 | 1 | 台 |
| 983 | 对讲机(vertex) | VX-210AU | VERTEXSTANDARD中国 | 4L730440 | 1 | 套 |
| 984 | 对讲机(vertex) | VX-210AU | VERTEXSTANDARD中国 | 4L730433 | 1 | 套 |
| 985 | 对讲机(vertex) | VX-210AU | VERTEXSTANDARD中国 | 4L730434 | 1 | 套 |
| 986 | 对讲机(防爆,vertex) | VX-400U | VERTEXSTANDARD日本 | 3L700240 | 1 | 套 |
| 987 | 对讲机 | 威泰克斯,VX-210A | 威泰克斯通讯(苏州)有限公司 | F-34A | 1 | 套 |
| 988 | 对讲机 | 威泰克斯,VX-210A | 威泰克斯通讯(苏州)有限公司 | F-36A | 1 | 套 |
| 989 | 对讲机(防爆,vertex) | VX-400U | VERTEXSTANDARD日本 | 3L700232 | 1 | 套 |
| 990 | 对讲机(防爆,vertex) | VX-400U | VERTEXSTANDARD日本 | 3L700236 | 1 | 套 |
| 991 | 对讲机(vertex) | VX-210 | 威泰克斯通讯(苏州有限公司 | 4M771676 | 1 | 套 |
| 992 | 对讲机:防爆对讲机 | GP328Pius | 摩托罗拉科技有限公司 | 004TGL7195 | 1 | 套 |
| 993 | 对讲机:防爆对讲机 | GP328Pius | 摩托罗拉科技有限公司 | 004TGL7061 | 1 | 套 |
| 994 | 对讲机:防爆对讲机 | GP328Pius | 摩托罗拉科技有限公司 | 004TGL7031 | 1 | 套 |
| 995 | 对讲机(防爆,vertex) | VX-400U | vertex,日本 | 3L700235 | 1 | 套 |
| 996 | 对讲机(防爆,vertex) | VX-400U | vertex,日本 | 3L700237 | 1 | 套 |
| 997 | 对讲机(vertex) | VX-210 | 威泰克斯通讯(苏州有限公司 | 4L730426 | 1 | 套 |
| 998 | 对讲机(防爆) | GP328 | MOTOROLA | 672HFWP640 | 1 | 只 |
| 999 | 对讲机(防爆) | GP328 | 摩托罗拉(中国)电子有限公司 | 672HEYL968 | 1 | 台 |
| 1000 | 对讲机(防爆) | GP328 | 摩托罗拉 | 672HFLC953 | 1 | 套 |
| 1001 | 对讲机(防爆) | GP328 | 摩托罗拉公司 | 672HFUX574 | 1 | 台 |
| 1002 | 对讲机 | GP2000 | 摩托罗拉(中国)电子有限公司 | 246XKG4911 | 1 | 台 |
| 1003 | 对讲机 | GP2000 | 摩托罗拉(中国)电子有限公司 | 246XKG4901 | 1 | 台 |
| 1004 | 对讲机 | GP328 | 摩托罗拉(中国)电子有限公司 | 672TJG8944 | 1 | 台 |
| 1005 | 对讲机(MOTOROLA) | GP328AZH25RDC9AA3 | 摩托罗拉中国电子有限公司 | 672HDNB070 | 1 | 台 |
| 1006 | 对讲机(防爆) | GP328 | 摩托罗拉(中国电子有限公司 | 627HFJB352 | 1 | 套 |
| 1007 | 对讲机(防爆) | GP328 | 摩托罗拉(中国)电子有限公司 | 627HC02975 | 1 | 套 |
| 1008 | 对讲机(防爆) | GP328 | 摩托罗拉(中国)电子有限公司 | 672THAA995 | 1 | 套 |
| 1009 | 对讲机(防爆) | GP328P | 摩托罗拉(中国电子有限公司 | 672HFJ9913 | 1 | 台 |
| 1010 | 对讲机(防爆) | GP328 | 摩托罗拉公司 | 672HFOZ290 | 1 | 台 |
| 1011 | 对讲机(防爆) | GP328 | 摩托罗拉 | 672THJQ786 | 1 | 套 |
| 1012 | 对讲机 | GP328 | 摩托罗拉(中国)电子有限公司 | 672TJG8968 | 1 | 台 |
| 1013 | 对讲机(防爆) | GP328 | 摩托罗拉 | 672TGWN013 | 1 | 套 |
| 1014 | 对讲机(防爆) | VX1-800U | 威泰克斯通讯(苏州)有限公司 | 6K800587 | 1 | 套 |
| 1015 | 对讲机(防爆) | VX-400U | 威泰克斯通讯(苏州有限公司 | 31632000 | 1 | 套 |
| 1016 | 对讲机(防爆) | VX-400U | 威泰克斯通讯(苏州有限公司 | 31631991 | 1 | 套 |
| 1017 | 对讲机(防爆) | GP328P | 摩托罗拉(中国电子有限公司 | 672HZJ9969 | 1 | 台 |
| 1018 | 对讲机(台式) | MC635 | 进口.菲律宾 | 65005384 | 1 | 台 |
| 1019 | 对讲机(防爆) | GP328 | 摩托罗拉(中国)电子有限公司 | 672TKGV652 | 1 | 台 |
| 1020 | 对讲机(防爆) | GP328 | 摩托罗拉(中国)电子有限公司 | 672TKGV650 | 1 | 台 |
| 1021 | 对讲机(防爆) | GP328 | 摩托罗拉(中国)电子有限公司 | 672TKGV659 | 1 | 台 |
| 1022 | 对讲机(防爆) | GP328 | 摩托罗拉(中国)电子有限公司 | 672TKGV665 | 1 | 台 |
| 1023 | 对讲机(防爆) | GP332 | 摩托罗拉(中国)电子有限公司 | 672TGWN985 | 1 | 台 |
| 1024 | 对讲机(防爆) | GP328 | 摩托罗拉科技有限公司 | 672THN9000 | 1 | 台 |
| 1025 | 对讲机(防爆) | GP328 | 摩托罗拉科技有限公司 | 672THN8996 | 1 | 台 |
| 1026 | 对讲机(防爆) | GP328 | 摩托罗拉(中国)电子有限公司 | 672TKQ7064 | 1 | 只 |
| 1027 | 对讲机(防爆) | GP328 | 摩托罗拉(中国)电子有限公司 | 672TKGV658 | 1 | 台 |
| 1028对讲机(防爆)GP328摩托罗拉(中国)电子有限公司672TLGZ228 | 1 | 只 |
| 1029 | 对讲机(防爆) | GP328 | 摩托罗拉(中国)电子有限公司 | 672TKA5986 | 1 | 台 |
| 1030 | 对讲机(防爆) | GP328 | 摩托罗拉(中国)电子有限公司 | 672TKGV654 | 1 | 台 |
| 1031 | 对讲机(防爆) | GP328 | 摩托罗拉(中国)电子有限公司 | 672TKA3604 | 1 | 台 |
| 1032 | 对讲机(防爆) | GP328 | 摩托罗拉(中国电子有限公司 | 672TJP6424 | 1 | 台 |
| 1033 | 对讲机(防爆) | GP328AZH25RDC9AA3 | 摩托罗拉(中国)电子有限公司 | 672HDNB287 | 1 | 台 |
| 1034 | 对讲机(防爆) | GP328 | 摩托罗拉(中国)电子有限公司 | 672TLGZ226 | 1 | 只 |
| 1035 | 对讲机(防爆) | GP328 | 摩托罗拉(中国)电子有限公司 | 672TLGZ208 | 1 | 只 |
| 1036 | 对讲机(防爆) | GP328 | 摩托罗拉(中国)电子有限公司 | 672TLGZ204 | 1 | 只 |
| 1037 | 对讲机(防爆) | GP328 | 摩托罗拉 | 672TN08008 | 1 | 台 |
| 1038 | 对讲机(防爆) | GP328,摩托罗拉 | 摩托罗拉 | 672THAA965 | 1 | 套 |
| 1039 | 对讲机(数字化手台) | P8268FM | 摩托罗拉 | 037TMSZ911 | 1 | 台 |
| 1040 | 对讲机(防爆) | GP328 | 摩托罗拉(中国)电子有限公司 | 672TLJA328 | 1 | 只 |
| 1041 | 对讲机(MOTOROLA) | GP328AZH25RDC9AA3 | 摩托罗拉(中国电子有限公司 | 672HDNB061 | 1 | 台 |
| 1042 | 对讲机(防爆) | GP328 | 摩托罗拉(中国)电子有限公司 | 672TKNY453 | 1 | 只 |
| 1043 | 对讲机(防爆) | GP328 | 摩托罗拉(中国)电子有限公司 | 672TKS3624 | 1 | 只 |
| 1044 | 对讲机(防爆) | GP331 | 摩托罗拉(中国)电子有限公司 | 672TKA3603 | 1 | 台 |
| 1045 | 对讲机(防爆) | GP328 | 摩托罗拉(中国)电子有限公司 | 672TLGZ203 | 1 | 只 |
| 1046 | 对讲机(防爆) | GP328 | 摩托罗拉(中国)电子有限公司 | 672HFLB855 | 1 | 套 |
| 1047 | 对讲机(防爆) | GP328 | 摩托罗拉(中国)电子有限公司 | 672TKGV664 | 1 | 台 |
| 1048 | 对讲机(防爆) | GP328 | 摩托罗拉(中国)电子有限公司 | 672TKS3617 | 1 | 只 |
| 1049 | 对讲机(防爆) | GP328 | 摩托罗拉(中国)电子有限公司 | 672TNQP380 | 1 | 台 |
| 1050 | 对讲机(防爆) | GP328 | 摩托罗拉(中国)电子有限公司 | 672TNQP381 | 1 | 台 |
| 1051 | 对讲机(防爆) | GP328 | 摩托罗拉(中国)电子有限公司 | 672TKQ7058 | 1 | 只 |
| 1052 | 对讲机(防爆) | GP328 | 天津摩托罗拉 | 672TNQP245 | 1 | 套 |
| 1053 | 对讲机(防爆) | GP328 | 摩托罗拉(中国)电子有限公司 | 672TKQ7065 | 1 | 只 |
| 1054 | 对讲机(防爆) | GP328 | 摩托罗拉(中国)电子有限公司 | 672TKQ7068 | 1 | 只 |
| 1055 | 对讲机(防爆) | GP328 | 摩托罗拉(中国)电子有限公司 | 672TKQ7072 | 1 | 只 |
| 1056 | 对讲机(防爆) | GP328 | 摩托罗拉(中国)电子有限公司 | 672TKGV656 | 1 | 台 |
| 1057 | 对讲机(防爆) | GP328 | 摩托罗拉 | 672TNQ7557 | 1 | 台 |
| 1058 | 对讲机(防爆) | GP328 | 摩托罗拉(中国)电子有限公司 | 672TNQP196 | 1 | 台 |
| 1059 | 防爆对讲机 | GP328 | 摩托罗拉 | 672TNY8621 | 1 | 台 |
| 1060 | 对讲机 | GP328 | 摩托罗拉(中国)电子有限公司 | 672TJG8964 | 1 | 台 |
| 1061 | 对讲机(防爆) | GP328 | 摩托罗拉(中国)电子有限公司 | 672TMAC649 | 1 | 只 |
| 1062 | 对讲机(车载无线) | VX-2508-G6-25 | 威泰克斯通讯(苏州)有限公司 | 4D150035 | 1 | 台 |
| 1063 | 对讲机(防爆) | GP328 | 摩托罗拉科技有限公司 | 672THN8575 | 1 | 台 |
| 1064 | 对讲机(防爆) | GP328Plus | 摩托罗拉(中国)电子有限公司 | 004THS6684 | 1 | 台 |
| 1065 | 对讲机(防爆) | GP328Plus | 摩托罗拉(中国)电子有限公司 | 004THS6685 | 1 | 台 |
| 1066 | 防爆对讲机 | TK3178 | 株式会社建伍 | B3102605 | 1 | 套 |
| 1067 | 防爆对讲机 | TK3178 | 株式会社建伍 | B3102673 | 1 | 套 |
| 1068 | 防爆对讲机 | TK3178 | 株式会社建伍 | A9B05321 | 1 | 套 |
| 1069 | 防爆对讲机 | TK3178 | 株式会社建伍 | B3102675 | 1 | 套 |
| 1070 | 对讲机(KENWOOD) | TK-3178 | 日本.健伍 | A9801214 | 1 | 只 |
| 1071 | 对讲机(KENWOOD) | TK-3178 | 日本.健伍 | A9801213 | 1 | 只 |
| 1072 | 对讲机(防爆) | GP328 | 摩托罗拉(中国)电子有限公司 | 672TLGZ216 | 1 | 只 |
| 1073 | 对讲机(防爆) | GP328 | 摩托罗拉(中国)电子有限公司 | 672TLGZ212 | 1 | 只 |
| 1074 | 对讲机(防爆) | GP328 | 摩托罗拉(中国)电子有限公司 | 672TKS3618 | 1 | 只 |
| 1075 | 对讲机(防爆) | GP328 | 摩托罗拉(中国)电子有限公司 | 672TLGZ215 | 1 | 只 |
| 1076 | 对讲机(防爆) | GP328 | 摩托罗拉(中国电子有限公司 | 672TNQE356 | 1 | 台 |
| 1077 | 对讲机(防爆) | GP328 | 摩托罗拉(中国有限公司 | 672TME9271 | 1 | 台 |
| 1078 | 防爆对讲机 | GP328 | 摩托罗拉系统(中国)有限公司 | 672TQYM921 | 1 | 台 |
| 1079 | 对讲机(防爆) | GP328 | 摩托罗拉(中国电子有限公司 | 672TKGV651 | 1 | 台 |
| 1080 | 对讲机(防爆) | GP328 | 摩托罗拉(中国)电子有限公司 | 672TKQ7070 | 1 | 只 |
| 1081 | 对讲机(防爆) | GP328 | 摩托罗拉(中国有限公司 | 672TNQ7541 | 1 | 台 |
| 1082 | 防爆对讲机 | GP328 | 天津摩托罗拉公司 | 672TQC0926 | 1 | 台 |
| 1083 | 防爆对讲机 | XIRP6600I | 天津摩托罗拉 | 446TTKH214 | 1 | 台 |
| 1084 | 防爆对讲机 | XIRP6600I | 天津摩托罗拉 | 446TTKH708 | 1 | 台 |
| 1085 | 防爆对讲机 | GP328 | 摩托罗拉系统(中国)有限公司 | 672TRLF217 | 1 | 台 |
| 1086 | 防爆对讲机 | GP328 | 摩托罗拉(中国)电子有限公司 | 672TRL7508 | 1 | 台 |
| 1087 | 防爆对讲机 | GP328 | 摩托罗拉系统(中国)有限公司 | 672TRLC737 | 1 | 台 |
| 1088 | 防爆对讲机 | GP328 | 摩托罗拉(中国电子有限公司 | 672TRJF799 | 1 | 台 |
| 1089 | 防爆对讲机 | GP328 | 摩托罗拉(中国电子有限公司 | 672TRJA817 | 1 | 台 |
| 1090 | 防爆对讲机 | GP328 | 摩托罗拉(中国)电子有限公司 | 672TRJA945 | 1 | 台 |
| 1091 | 对讲机(防爆) | GP328 | 摩托罗拉(中国电子有限公司 | 672TKGV653 | 1 | 台 |
| 1092 | 对讲机(防爆) | GP328 | 摩托罗拉(中国电子有限公司 | 672TKQ7080 | 1 | 只 |
| 1093 | 对讲机(防爆) | GP328 | 摩托罗拉(中国有限公司 | 672ENQ7535 | 1 | 台 |
| 1094 | 对讲机(防爆) | GP328 | 摩托罗拉(中国有限公司 | 672TME8003 | 1 | 台 |
| 1095 | 对讲机(防爆) | GP328 | 摩托罗拉(中国有限公司 | 672TNY8627 | 1 | 套 |
| 1096 | 对讲机(防爆) | GP328 | 摩托罗拉公司 | 672TPW4515 | 1 | 台 |
| 1097 | 对讲机(防爆) | GP328 | 摩托罗拉公司 | 672TPW4231 | 1 | 台 |
| 1098 | 防爆对讲机 | GP328 | 摩托罗拉系统(中国)有限公司 | 672TQSD272 | 1 | 台 |
| 1099 | 防爆对讲机 | GP328 | 摩托罗拉系统(中国)有限公司 | 672TRJL5042 | 1 | 台 |
| 1100 | 防爆对讲机 | GP328 | 摩托罗拉系统(中国)有限公司 | 672TRJF807 | 1 | 台 |
| 1101 | 防爆对讲机 | GP328 | 摩托罗拉系统(中国)有限公司 | 672TRLC739 | 1 | 台 |
| 1102 | 防爆对讲机 | GP328 | 摩托罗拉中国)电子有限公司 | 672TRLF764 | 1 | 台 |
| 1103 | 防爆对讲机 | GP328 | 摩托罗拉(中国)电子有限公司 | 672TRJ7906 | 1 | 台 |
| 1104 | 防爆对讲机 | GP328 | 摩托罗拉(中国电子有限公司 | 672TRJA944 | 1 | 台 |
1105防爆对讲机GP328摩托罗拉(中国电子有限公司672TRJA9491台1106防爆对讲机GP328摩托罗拉(中国电子有限公司672TRL60641台1107防爆对讲机GP328摩托罗拉(中国)电子有限公司672TRJA6591台1108防爆对讲机XIRP6600I天津摩托罗拉446TTKH6421台1109防爆对讲机XIRP6600I天津摩托罗拉446TTFC0251台1110对讲机(防爆)GP328摩托罗拉(中国电子有限公司672TLGZ2181只1111对讲机(防爆)GP328摩托罗拉(中国)电子有限公司672TKQ70671只1112对讲机XIRP8268摩托罗拉037TMSY0681台1113对讲机(防爆)GP328摩托罗拉672TNQ75441台1114对讲机(防爆)GP328摩托罗拉(中国电子有限公司672TNQP3841台1115对讲机(防爆)GP328摩托罗拉(中国电子有限公司672TNQP3661台1116防爆对讲机XIRP6600I天津摩托罗拉446TTKH7341台1117防爆对讲机XIRP6600I天津摩托罗拉446TTKH6771台1118对讲机(防爆)GP328摩托罗拉(中国电子有限公司672TKS24231只1119对讲机(防爆)GP328摩托罗拉(中国)电子有限公司672TKS24331只1120对讲机(防爆)GP328摩托罗拉(中国)电子有限公司672TKS23851只1121对讲机(防爆)GP328摩托罗拉(中国电子有限公司672TKS23971只1122对讲机(防爆)GP328摩托罗拉(中国电子有限公司672TKS24221只1123对讲机(防爆)GP328摩托罗拉公司672TPW41701台1124对讲机(车载)GM3688摩托罗拉(中国电子有限公司019TKN20311台1125对讲机(防爆)GP328摩托罗拉(中国)电子有限公司672TMAC6421只1126对讲机(防爆)GP328摩托罗拉(中国)电子有限公司672THN86251台1127对讲机(防爆)GP328摩托罗拉(中国电子有限公司672THN89971台1128对讲机(车载无线)VX-2508-F6-25VerterStandard816102261台1129对讲机(车载无线)VX-2508-F6-25VerterStandard816102271台1130对讲机(KENWOOD)TK-U100U-C日本健伍株式会社B11078611台1131对讲机(KENWOOD)TK-U100U-